



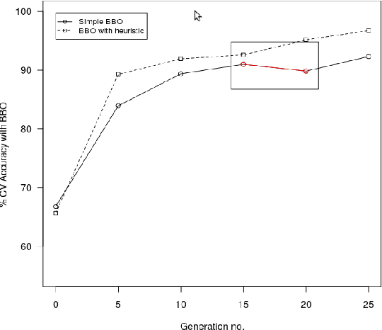
Abstract:Microarray cancer gene expression data comprise of very high dimensions. Reducing the dimensions helps in improving the overall analysis and classification performance. We propose two hybrid techniques, Biogeography - based Optimization - Random Forests (BBO - RF) and BBO - SVM (Support Vector Machines) with gene ranking as a heuristic, for microarray gene expression analysis. This heuristic is obtained from information gain filter ranking procedure. The BBO algorithm generates a population of candidate subset of genes, as part of an ecosystem of habitats, and employs the migration and mutation processes across multiple generations of the population to improve the classification accuracy. The fitness of each gene subset is assessed by the classifiers - SVM and Random Forests. The performances of these hybrid techniques are evaluated on three cancer gene expression datasets retrieved from the Kent Ridge Biomedical datasets collection and the libSVM data repository. Our results demonstrate that genes selected by the proposed techniques yield classification accuracies comparable to previously reported algorithms.
Abstract:The issues in air traffic control have so far been addressed with the intent to improve resource utilization and achieve an optimized solution with respect to fuel comsumption of aircrafts, efficient usage of the available airspace with minimal congestion related losses under various dynamic constraints. So the focus has almost always been more on smarter management of traffic to increase profits while human safety, though achieved in the process, we believe, has remained less seriously attended. This has become all the more important given that we have overburdened and overstressed air traffic controllers managing hundreds of airports and thousands of aircrafts per day. We propose a multiagent system based distributed approach to handle air traffic ensuring complete human (passenger) safety without removing any humans (ground controllers) from the loop thereby also retaining the earlier advantages in the new solution. The detailed design of the agent system, which will be easily interfacable with the existing environment, is described. Based on our initial findings from simulations, we strongly believe the system to be capable of handling the nuances involved, to be extendable and customizable at any later point in time.