



Abstract:Retro reflective markers can remarkably aid photogrammetry tasks in challenging visual environments. They have been demonstrated to be key enablers of pose estimation for remote handling in ITER. However, the strict requirements of the ITER environment have previously markedly constrained the design of such elements and limited their performance. In this work, we identify several retro reflector designs based on the cat's eye principle that are applicable to the ITER usecase and propose a methodology for optimizing their performance. We circumvent some of the environmental constraints by changing the curvature radius and distance to the reflective surface. We model, manufacture and test a marker that fulfils all the application requirements while achieving a gain of around 100\% in performance over the previous solution in the targeted working range.




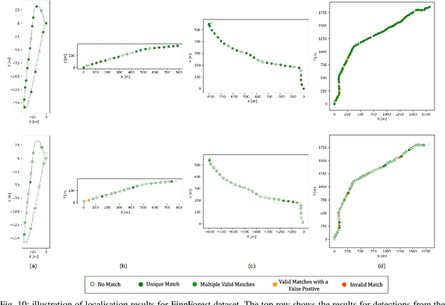
Abstract:A key functional block of visual navigation system for intelligent autonomous vehicles is Loop Closure detection and subsequent relocalisation. State-of-the-Art methods still approach the problem as uni-directional along the direction of the previous motion. As a result, most of the methods fail in the absence of a significantly similar overlap of perspectives. In this study, we propose an approach for bi-directional loop closure. This will, for the first time, provide us with the capability to relocalize to a location even when traveling in the opposite direction, thus significantly reducing long-term odometry drift in the absence of a direct loop. We present a technique to select training data from large datasets in order to make them usable for the bi-directional problem. The data is used to train and validate two different CNN architectures for loop closure detection and subsequent regression of 6-DOF camera pose between the views in an end-to-end manner. The outcome packs a considerable impact and aids significantly to real-world scenarios that do not offer direct loop closure opportunities. We provide a rigorous empirical comparison against other established approaches and evaluate our method on both outdoor and indoor data from the FinnForest dataset and PennCOSYVIO dataset.