



Abstract:In the relentless efforts in enhancing medical diagnostics, the integration of state-of-the-art machine learning methodologies has emerged as a promising research area. In molecular biology, there has been an explosion of data generated from multi-omics sequencing. The advent sequencing equipment can provide large number of complicated measurements per one experiment. Therefore, traditional statistical methods face challenging tasks when dealing with such high dimensional data. However, most of the information contained in these datasets is redundant or unrelated and can be effectively reduced to significantly fewer variables without losing much information. Dimensionality reduction techniques are mathematical procedures that allow for this reduction; they have largely been developed through statistics and machine learning disciplines. The other challenge in medical datasets is having an imbalanced number of samples in the classes, which leads to biased results in machine learning models. This study, focused on tackling these challenges in a neural network that incorporates autoencoder to extract latent space of the features, and Generative Adversarial Networks (GAN) to generate synthetic samples. Latent space is the reduced dimensional space that captures the meaningful features of the original data. Our model starts with feature selection to select the discriminative features before feeding them to the neural network. Then, the model predicts the outcome of cancer for different datasets. The proposed model outperformed other existing models by scoring accuracy of 95.09% for bladder cancer dataset and 88.82% for the breast cancer dataset.




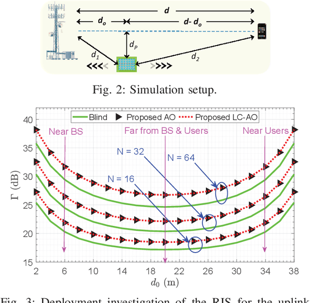
Abstract:The reconfigurable intelligent surface (RIS)-assisted sparse code multiple access (RIS-SCMA) is an attractive scheme for future wireless networks. In this letter, for the first time, the RIS phase shifts of the uplink RIS-SCMA system are optimized based on the alternate optimization (AO) technique to improve the received signal-to-noise ratio (SNR) for a discrete set of RIS phase shifts. The system model of the uplink RIS-SCMA is formulated to utilize the AO algorithm. For further reduction in the computational complexity, a low-complexity AO (LC-AO) algorithm is proposed. The complexity analysis of the two proposed algorithms is performed. Monte Carlo simulations and complexity analysis show that the proposed algorithms significantly improve the received SNR compared to the non-optimized RIS-SCMA scenario. The LC-AO provides the same received SNR as the AO algorithm, with a significant reduction in complexity. Moreover, the deployment of RISs for the uplink RIS-SCMA is investigated.