



Abstract:Machine learning techniques nowadays play a vital role in many burning issues of real-world problems when it involves data. In addition, when the task is complex, people are in dilemma in choosing deep learning techniques or going without them. This paper is about whether we should always rely on deep learning techniques or it is really possible to overcome the performance of deep learning algorithms by simple statistical machine learning algorithms by understanding the application and processing the data so that it can help in increasing the performance of the algorithm by a notable amount. The paper mentions the importance of data preprocessing than that of the selection of the algorithm. It discusses the functions involving trigonometric, logarithmic, and exponential terms and also talks about functions that are purely trigonometric. Finally, we discuss regression analysis on music signals to justify our claim.




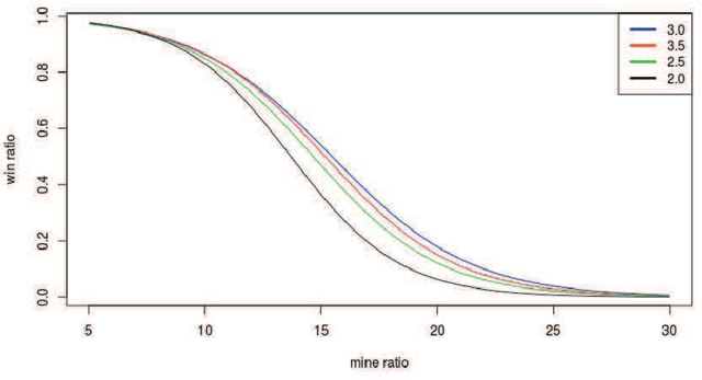
Abstract:Minesweeper is a popular spatial-based decision-making game that works with incomplete information. As an exemplary NP-complete problem, it is a major area of research employing various artificial intelligence paradigms. The present work models this game as Constraint Satisfaction Problem (CSP) and Markov Decision Process (MDP). We propose a new method named as dependents from the independent set using deterministic solution search (DSScsp) for the faster enumeration of all solutions of a CSP based Minesweeper game and improve the results by introducing heuristics. Using MDP, we implement machine learning methods on these heuristics. We train the classification model on sparse data with results from CSP formulation. We also propose a new rewarding method for applying a modified deep Q-learning for better accuracy and versatile learning in the Minesweeper game. The overall results have been analyzed for different kinds of Minesweeper games and their accuracies have been recorded. Results from these experiments show that the proposed method of MDP based classification model and deep Q-learning overall is the best methods in terms of accuracy for games with given mine densities.