



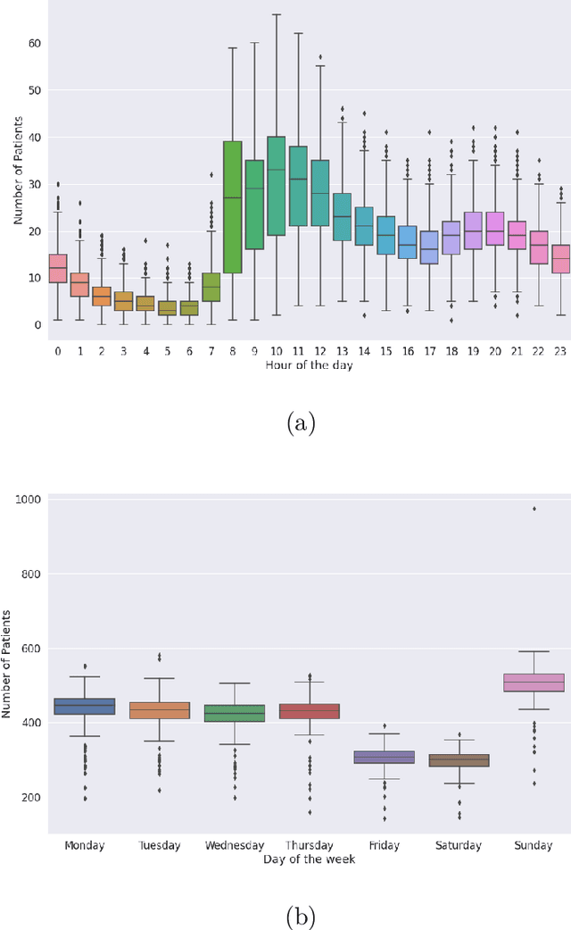
Abstract:Early and timely prediction of patient care demand not only affects effective resource allocation but also influences clinical decision-making as well as patient experience. Accurately predicting patient care demand, however, is a ubiquitous challenge for hospitals across the world due, in part, to the demand's time-varying temporal variability, and, in part, to the difficulty in modelling trends in advance. To address this issue, here, we develop two methods, a relatively simple time-vary linear model, and a more advanced neural network model. The former forecasts patient arrivals hourly over a week based on factors such as day of the week and previous 7-day arrival patterns. The latter leverages a long short-term memory (LSTM) model, capturing non-linear relationships between past data and a three-day forecasting window. We evaluate the predictive capabilities of the two proposed approaches compared to two na\"ive approaches - a reduced-rank vector autoregressive (VAR) model and the TBATS model. Using patient care demand data from Rambam Medical Center in Israel, our results show that both proposed models effectively capture hourly variations of patient demand. Additionally, the linear model is more explainable thanks to its simple architecture, whereas, by accurately modelling weekly seasonal trends, the LSTM model delivers lower prediction errors. Taken together, our explorations suggest the utility of machine learning in predicting time-varying patient care demand; additionally, it is possible to predict patient care demand with good accuracy (around 4 patients) three days or a week in advance using machine learning.




Abstract:This paper covers the design and programming of a hybrid (digital/analog) neural network to function as an artificial retina with the ability to perform a spatial discrete cosine transform. We describe the structure of the circuit, which uses an analog cell that is interlinked using a programmable digital array. The paper is broken into three main parts. First, we present the results of a Matlab simulation. Then we show the circuit simulation in Spice. This is followed by a demonstration of the practical device. This system has intentionally separated components with the specialty analog circuits being separated from the readily available digital field programmable gate array (FPGA) components. Further development includes the use of rapid manufacture-able organic electronics used for the analog components. The planned uses for this platform include crowd development of software that uses the underlying pulse based processing. The development package will include simulators in the form of Matlab and Spice type software platforms.