AT&T Research




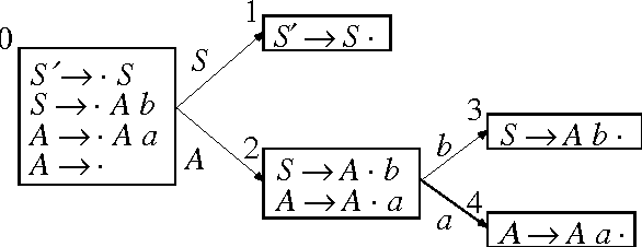
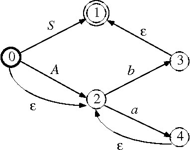
Abstract:Phrase-structure grammars are effective models for important syntactic and semantic aspects of natural languages, but can be computationally too demanding for use as language models in real-time speech recognition. Therefore, finite-state models are used instead, even though they lack expressive power. To reconcile those two alternatives, we designed an algorithm to compute finite-state approximations of context-free grammars and context-free-equivalent augmented phrase-structure grammars. The approximation is exact for certain context-free grammars generating regular languages, including all left-linear and right-linear context-free grammars. The algorithm has been used to build finite-state language models for limited-domain speech recognition tasks.