



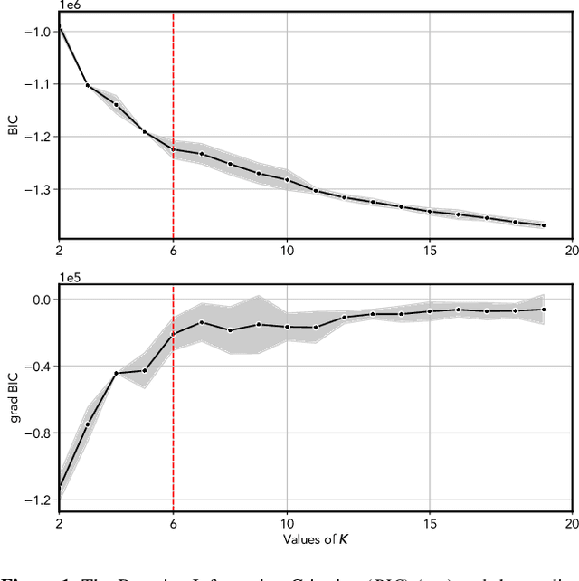
Abstract:The automatic classification of X-ray detections is a necessary step in extracting astrophysical information from compiled catalogs of astrophysical sources. Classification is useful for the study of individual objects, statistics for population studies, as well as for anomaly detection, i.e., the identification of new unexplored phenomena, including transients and spectrally extreme sources. Despite the importance of this task, classification remains challenging in X-ray astronomy due to the lack of optical counterparts and representative training sets. We develop an alternative methodology that employs an unsupervised machine learning approach to provide probabilistic classes to Chandra Source Catalog sources with a limited number of labeled sources, and without ancillary information from optical and infrared catalogs. We provide a catalog of probabilistic classes for 8,756 sources, comprising a total of 14,507 detections, and demonstrate the success of the method at identifying emission from young stellar objects, as well as distinguishing between small-scale and large-scale compact accretors with a significant level of confidence. We investigate the consistency between the distribution of features among classified objects and well-established astrophysical hypotheses such as the unified AGN model. This provides interpretability to the probabilistic classifier. Code and tables are available publicly through GitHub. We provide a web playground for readers to explore our final classification at https://umlcaxs-playground.streamlit.app.




Abstract:With the availability of the huge amounts of data produced by current and future large multi-band photometric surveys, photometric redshifts have become a crucial tool for extragalactic astronomy and cosmology. In this paper we present a novel method, called Weak Gated Experts (WGE), which allows to derive photometric redshifts through a combination of data mining techniques. \noindent The WGE, like many other machine learning techniques, is based on the exploitation of a spectroscopic knowledge base composed by sources for which a spectroscopic value of the redshift is available. This method achieves a variance \sigma^2(\Delta z)=2.3x10^{-4} (\sigma^2(\Delta z) =0.08), where \Delta z = z_{phot} - z_{spec}) for the reconstruction of the photometric redshifts for the optical galaxies from the SDSS and for the optical quasars respectively, while the Root Mean Square (RMS) of the \Delta z variable distributions for the two experiments is respectively equal to 0.021 and 0.35. The WGE provides also a mechanism for the estimation of the accuracy of each photometric redshift. We also present and discuss the catalogs obtained for the optical SDSS galaxies, for the optical candidate quasars extracted from the DR7 SDSS photometric dataset {The sample of SDSS sources on which the accuracy of the reconstruction has been assessed is composed of bright sources, for a subset of which spectroscopic redshifts have been measured.}, and for optical SDSS candidate quasars observed by GALEX in the UV range. The WGE method exploits the new technological paradigm provided by the Virtual Observatory and the emerging field of Astroinformatics.