Abstract:The spread of content on social media is shaped by intertwining factors on three levels: the source, the content itself, and the pathways of content spread. At the lowest level, the popularity of the sharing user determines its eventual reach. However, higher-level factors such as the nature of the online item and the credibility of its source also play crucial roles in determining how widely and rapidly the online item spreads. In this work, we propose the Bayesian Mixture Hawkes (BMH) model to jointly learn the influence of source, content and spread. We formulate the BMH model as a hierarchical mixture model of separable Hawkes processes, accommodating different classes of Hawkes dynamics and the influence of feature sets on these classes. We test the BMH model on two learning tasks, cold-start popularity prediction and temporal profile generalization performance, applying to two real-world retweet cascade datasets referencing articles from controversial and traditional media publishers. The BMH model outperforms the state-of-the-art models and predictive baselines on both datasets and utilizes cascade- and item-level information better than the alternatives. Lastly, we perform a counter-factual analysis where we apply the trained publisher-level BMH models to a set of article headlines and show that effectiveness of headline writing style (neutral, clickbait, inflammatory) varies across publishers. The BMH model unveils differences in style effectiveness between controversial and reputable publishers, where we find clickbait to be notably more effective for reputable publishers as opposed to controversial ones, which links to the latter's overuse of clickbait.
Abstract:The spread of content on social media is shaped by intertwining factors on three levels: the source, the content itself, and the pathways of content spread. At the lowest level, the popularity of the sharing user determines its eventual reach. However, higher-level factors such as the nature of the online item and the credibility of its source also play crucial roles in determining how widely and rapidly the online item spreads. In this work, we propose the Bayesian Mixture Hawkes (BMH) model to jointly learn the influence of source, content and spread. We formulate the BMH model as a hierarchical mixture model of separable Hawkes processes, accommodating different classes of Hawkes dynamics and the influence of feature sets on these classes. We test the BMH model on two learning tasks, cold-start popularity prediction and temporal profile generalization performance, applying to two real-world retweet cascade datasets referencing articles from controversial and traditional media publishers. The BMH model outperforms the state-of-the-art models and predictive baselines on both datasets and utilizes cascade- and item-level information better than the alternatives. Lastly, we perform a counter-factual analysis where we apply the trained publisher-level BMH models to a set of article headlines and show that effectiveness of headline writing style (neutral, clickbait, inflammatory) varies across publishers. The BMH model unveils differences in style effectiveness between controversial and reputable publishers, where we find clickbait to be notably more effective for reputable publishers as opposed to controversial ones, which links to the latter's overuse of clickbait.




Abstract:Recent years have seen the rise of extremist views in the opinion ecosystem we call social media. Allowing online extremism to persist has dire societal consequences, and efforts to mitigate it are continuously explored. Positive interventions, controlled signals that add attention to the opinion ecosystem with the aim of boosting certain opinions, are one such pathway for mitigation. This work proposes a platform to test the effectiveness of positive interventions, through the Opinion Market Model (OMM), a two-tier model of the online opinion ecosystem jointly accounting for both inter-opinion interactions and the role of positive interventions. The first tier models the size of the opinion attention market using the multivariate discrete-time Hawkes process; the second tier leverages the market share attraction model to model opinions cooperating and competing for market share given limited attention. On a synthetic dataset, we show the convergence of our proposed estimation scheme. On a dataset of Facebook and Twitter discussions containing moderate and far-right opinions about bushfires and climate change, we show superior predictive performance over the state-of-the-art and the ability to uncover latent opinion interactions. Lastly, we use OMM to demonstrate the effectiveness of mainstream media coverage as a positive intervention in suppressing far-right opinions.




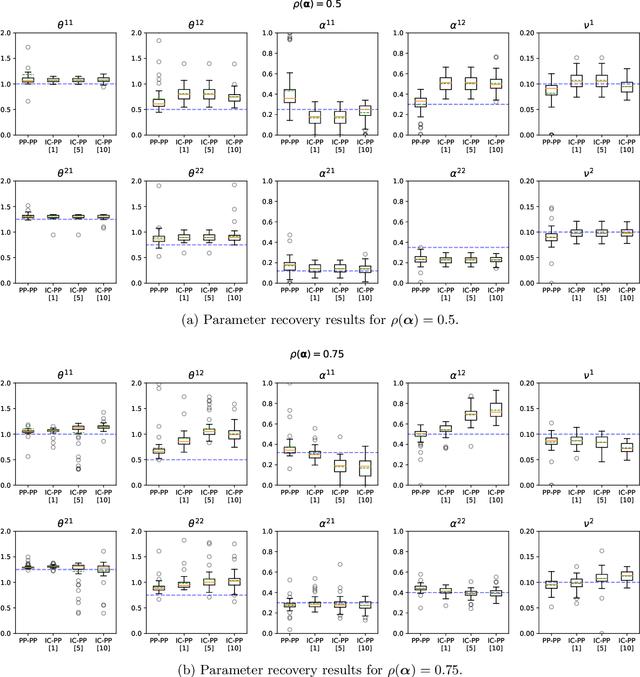
Abstract:This work introduces a novel multivariate temporal point process, the Partial Mean Behavior Poisson (PMBP) process, which can be leveraged to fit the multivariate Hawkes process to partially interval-censored data consisting of a mix of event timestamps on a subset of dimensions and interval-censored event counts on the complementary dimensions. First, we define the PMBP process via its conditional intensity and derive the regularity conditions for subcriticality. We show that both the Hawkes process and the MBP process (Rizoiu et al. (2021)) are special cases of the PMBP process. Second, we provide numerical schemes that enable calculating the conditional intensity and sampling event histories of the PMBP process. Third, we demonstrate the applicability of the PMBP process by empirical testing using synthetic and real-world datasets: We test the capability of the PMBP process to recover multivariate Hawkes parameters given sample event histories of the Hawkes process. Next, we evaluate the PMBP process on the Youtube popularity prediction task and show that it outperforms the current state-of-the-art Hawkes Intensity process (Rizoiu et al. (2017b)). Lastly, on a curated dataset of COVID19 daily case counts and COVID19-related news articles for a sample of countries, we show that clustering on the PMBP-fitted parameters enables a categorization of countries with respect to the country-level interaction of cases and news reporting.