



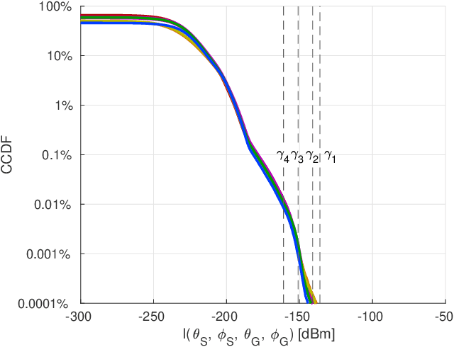
Abstract:We study whether realistic 5G mm-wave cellular networks would cause harmful out-of-band interference to weather satellites sensing in the 23.8 GHz band. We estimate uplink and downlink interference from a single interferer and a network of interferers in New York City, using real 3D building data and realistic antenna patterns. We perform detailed ray-tracing propagation simulations, for locations of the MetOp-B weather satellite and its scanning orientations and ground interferer antenna orientations for representative urban cell sites. In addition to the ITU-R threshold of -136 dBm/200 MHz, we propose an alternative set of harmful interference thresholds directly related to the sensitivity of the satellite sensor. Our results show that the 3GPP power leakage limits are sufficient to ensure that interference from a single 5G device is not harmful if considering the ITU-R threshold, but not if the weather prediction software can tolerate only very low interference levels. Importantly, aggregate interference resulting in practice from a 5G network with realistic network densities is often harmful, even considering the least conservative ITU-R threshold. Overall, our comprehensive coexistence study thus strongly suggests that additional engineering and/or regulatory solutions will be necessary to protect weather satellite passive sensing from mm-wave cellular network interference.



Abstract:In this paper, we discuss how certain radio access network optimization problems can be modelled using the concept of constraint satisfaction problems in artificial intelligence, and solved at scale using a quantum computer. As a case study, we discuss root sequence index (RSI) assignment problem - an important LTE/NR physical random access channel configuration related automation use-case. We formulate RSI assignment as quadratic unconstrained binary optimization (QUBO) problem constructed using data ingested from a commercial mobile network, and solve it using a cloud-based commercially available quantum computing platform. Results show that quantum annealing solver can successfully assign conflict-free RSIs. Comparison with well-known heuristics reveals that some classic algorithms are even more effective in terms of solution quality and computation time. The non-quantum advantage is due to the fact that current implementation is a semi-quantum proof-of-concept algorithm. Also, the results depend on the type of quantum computer used. Nevertheless, the proposed framework is highly flexible and holds tremendous potential for harnessing the power of quantum computing in mobile network automation.




Abstract:Digital modulation classification (DMC) can be highly valuable for equipping radios with increased spectrum awareness in complex emerging wireless networks. However, as the existing literature is overwhelmingly based on theoretical or simulation results, it is unclear how well DMC performs in practice. In this paper we study the performance of DMC in real-world wireless networks, using an extensive RF signal dataset of 250,000 over-the-air transmissions with heterogeneous transceiver hardware and co-channel interference. Our results show that DMC can achieve a high classification accuracy even under the challenging real-world conditions of modulated co-channel interference and low-grade hardware. However, this only holds if the training dataset fully captures the variety of interference and hardware types in the real radio environment; otherwise, the DMC performance deteriorates significantly. Our work has two important engineering implications. First, it shows that it is not straightforward to exchange learned classifier models among dissimilar radio environments and devices in practice. Second, our analysis suggests that the key missing link for real-world deployment of DMC is designing signal features that generalize well to diverse wireless network scenarios. We are making our RF signal dataset publicly available as a step towards a unified framework for realistic DMC evaluation.




Abstract:We consider a multichannel Cognitive Radio Network (CRN), where secondary users sequentially sense channels for opportunistic spectrum access. In this scenario, the Channel Selection Algorithm (CSA) allows secondary users to find a vacant channel with the minimal number of channel switches. Most of the existing CSA literature assumes exponential ON-OFF time distribution for primary users (PU) channel occupancy pattern. This exponential assumption might be helpful to get performance bounds; but not useful to evaluate the performance of CSA under realistic conditions. An in-depth analysis of independent spectrum measurement traces reveals that wireless channels have typically heavy-tailed PU OFF times. In this paper, we propose an extension to the Predictive CSA framework and its generalization for heavy tailed PU OFF time distribution, which represents realistic scenarios. In particular, we calculate the probability of channel being idle for hyper-exponential OFF times to use in CSA. We implement our proposed CSA framework in a wireless test-bed and comprehensively evaluate its performance by recreating the realistic PU channel occupancy patterns. The proposed CSA shows significant reduction in channel switches and energy consumption as compared to Predictive CSA which always assumes exponential PU ON-OFF times.Through our work, we show the impact of the PU channel occupancy pattern on the performance of CSA in multichannel CRN.