



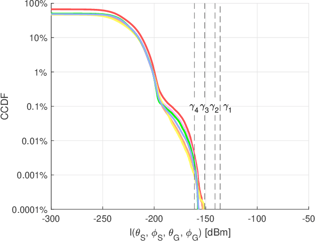
We study whether realistic 5G mm-wave cellular networks would cause harmful out-of-band interference to weather satellites sensing in the 23.8 GHz band. We estimate uplink and downlink interference from a single interferer and a network of interferers in New York City, using real 3D building data and realistic antenna patterns. We perform detailed ray-tracing propagation simulations, for locations of the MetOp-B weather satellite and its scanning orientations and ground interferer antenna orientations for representative urban cell sites. In addition to the ITU-R threshold of -136 dBm/200 MHz, we propose an alternative set of harmful interference thresholds directly related to the sensitivity of the satellite sensor. Our results show that the 3GPP power leakage limits are sufficient to ensure that interference from a single 5G device is not harmful if considering the ITU-R threshold, but not if the weather prediction software can tolerate only very low interference levels. Importantly, aggregate interference resulting in practice from a 5G network with realistic network densities is often harmful, even considering the least conservative ITU-R threshold. Overall, our comprehensive coexistence study thus strongly suggests that additional engineering and/or regulatory solutions will be necessary to protect weather satellite passive sensing from mm-wave cellular network interference.