



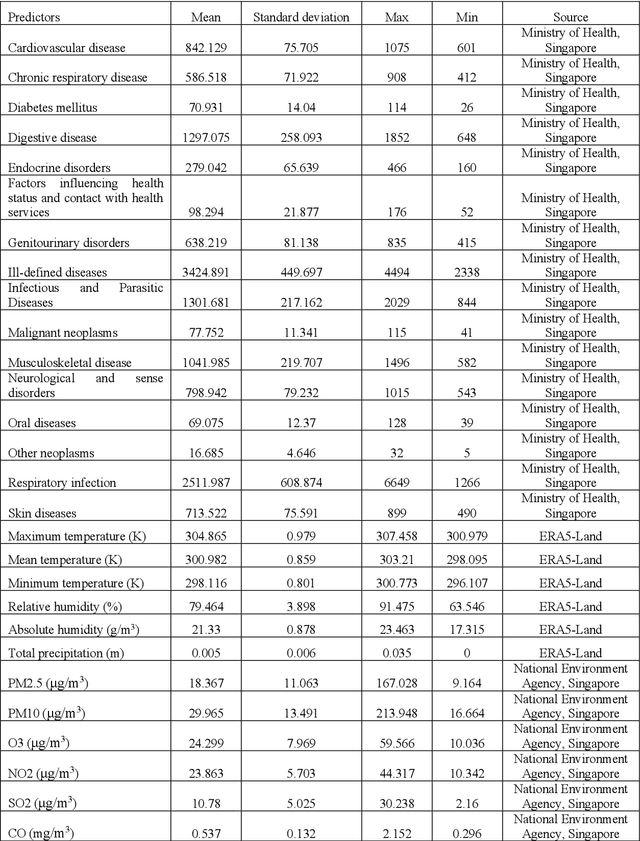
Abstract:Current work on forecasting emergency department (ED) admissions focuses on disease aggregates or singular disease types. However, given differences in the dynamics of individual diseases, it is unlikely that any single forecasting model would accurately account for each disease and for all time, leading to significant forecast model uncertainty. Yet, forecasting models for ED admissions to-date do not explore the utility of forecast combinations to improve forecast accuracy and stability. It is also unknown whether improvements in forecast accuracy can be yield from (1) incorporating a large number of environmental and anthropogenic covariates or (2) forecasting total ED causes by aggregating cause-specific ED forecasts. To address this gap, we propose high-dimensional forecast combination schemes to combine a large number of forecasting individual models for forecasting cause-specific ED admissions over multiple causes and forecast horizons. We use time series data of ED admissions with an extensive set of explanatory lagged variables at the national level, including meteorological/ambient air pollutant variables and ED admissions of all 16 causes studied. We show that the simple forecast combinations yield forecast accuracies of around 3.81%-23.54% across causes. Furthermore, forecast combinations outperform individual forecasting models, in more than 50% of scenarios (across all ED admission categories and horizons) in a statistically significant manner. Inclusion of high-dimensional covariates and aggregating cause-specific forecasts to provide all-cause ED forecasts provided modest improvements in forecast accuracy. Forecasting cause-specific ED admissions can provide fine-scale forward guidance on resource optimization and pandemic preparedness and forecast combinations can be used to hedge against model uncertainty when forecasting across a wide range of admission categories.