Abstract:The belief revision field is opulent in new proposals and indigent in analyses of existing approaches. Much work hinge on postulates, employed as syntactic characterizations: some revision mechanism is equivalent to some properties. Postulates constraint specific revision instances: certain revisions update certain beliefs in a certain way. As an example, if the revision is consistent with the current beliefs, it is incorporated with no other change. A postulate like this tells what revisions must do and neglect what they can do. Can they reach a certain state of beliefs? Can they reach all possible states of beliefs? Can they reach all possible states of beliefs from no previous belief? Can they reach a dogmatic state of beliefs, where everything not believed is impossible? Can they make two conditions equally believed? An application where every possible state of beliefs is sensible requires each state of beliefs to be reachable. An application where conditions may be equally believed requires such a belief state to be reachable. An application where beliefs may become dogmatic requires a way to make them dogmatic. Such doxastic states need to be reached in a way or another. Not in specific way, as dictated by a typical belief revision postulate. This is an ability, not a constraint: the ability of being plastic, equating, dogmatic. Amnesic, correcting, believer, damascan, learnable are other abilities. Each revision mechanism owns some of these abilities and lacks the others: lexicographic, natural, restrained, very radical, full meet, radical, severe, moderate severe, deep severe, plain severe and deep severe revisions, each of these revisions is proved to possess certain abilities.

Abstract:Forgetting a specific belief revision episode may not erase information because the other revisions may provide the same information or allow to deduce it. Whether it does was proved coNP-hard for sequence of two arbitrary lexicographic revision or arbitrarily long lexicographic Horn revision. A polynomial algorithm is presented for the case of two Horn revision. Heterogeneous sequences of revisions were proved to belong in Delta2. Their previously proved coNP-hardness is enhanced by a proof of NP-hardness.

Abstract:How information was acquired may become irrelevant. An obvious case is when something is confirmed many times. In terms of iterated belief revision, a specific revision may become irrelevant in presence of others. Simple repetitions are an example, but not the only case when this happens. Sometimes, a revision becomes redundant even in presence of none equal, or even no else implying it. A necessary and sufficient condition for the redundancy of the first of a sequence of lexicographic revisions is given. The problem is coNP-complete even with two propositional revisions only. Complexity is the same in the Horn case but only with an unbounded number of revisions: it becomes polynomial with two revisions. Lexicographic revisions are not only relevant by themselves, but also because sequences of them are the most compact of the common mechanisms used to represent the state of an iterated revision process. Shortening sequences of lexicographic revisions is shortening the most compact representations of iterated belief revision states.

Abstract:Natural revision seems so natural: it changes beliefs as little as possible to incorporate new information. Yet, some counterexamples show it wrong. It is so conservative that it never fully believes. It only believes in the current conditions. This is right in some cases and wrong in others. Which is which? The answer requires extending natural revision from simple formulae expressing universal truths (something holds) to conditionals expressing conditional truth (something holds in certain conditions). The extension is based on the basic principles natural revision follows, identified as minimal change, indifference and naivety: change beliefs as little as possible; equate the likeliness of scenarios by default; believe all until contradicted. The extension says that natural revision restricts changes to the current conditions. A comparison with an unrestricting revision shows what exactly the current conditions are. It is not what currently considered true if it contradicts the new information. It includes something more and more unlikely until the new information is at least possible.

Abstract:The three most common representations of states in iterated belief revision are compared: explicit, by levels and by history. The first is a connected preorder between models, the second is a list of formulae representing equivalence classes, the third is the sequence of the previous revisions. The latter depends on the revision semantics and on history rewriting, and the latter depends on the allowed rewritings. All mechanisms represent all possible states. A rewritten history of lexicographic revision is more efficient than the other considered representations in terms of size with arbitrary history rewritings. Establishing the redundancy of such a history is a mild rewriting. It is coNP-complete in the general case, and is hard even on histories of two revisions or revisions of arbitrary length of Horn formulae, and is polynomial on histories of two Horn formulae. A minor technical result is a polynomial-time algorithm for establishing whether a Horn formula is equivalent to the negation of another Horn formula.

Abstract:Abductive forgetting is removing variables from a logical formula while maintaining its abductive explanations. It is defined in either of two ways, depending on its intended application. Both differ from the usual forgetting, which maintains consequences rather than explanations. Differently from that, abductive forgetting from a propositional formula may not be expressed by any propositional formula. A necessary and sufficient condition tells when it is. Checking this condition is \P{3}-complete, and is in \P{4} if minimality of explanations is required. A way to guarantee expressibility of abductive forgetting is to switch from propositional to default logic. Another is to introduce new variables.





Abstract:A superredundant clause is a clause that is redundant in the resolution closure of a formula. The converse concept of superirredundancy ensures membership of the clause in all minimal CNF formulae that are equivalent to the given one. This allows for building formulae where some clauses are fixed when minimizing size. An example are proofs of complexity hardness of the problems of minimal formula size. Others are proofs of size when forgetting variables or revising a formula. Most clauses can be made superirredundant by splitting them over a new variable.





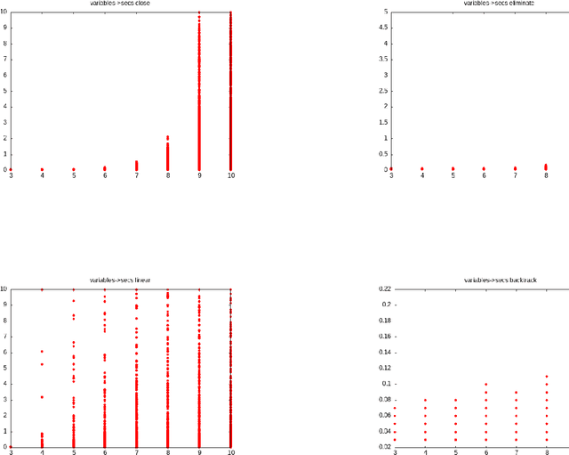
Abstract:Four algorithms for propositional forgetting are compared. The first performs all possible resolutions and deletes the clauses containing a variable to forget. The second forgets a variable at time by resolving and then deleting all clauses that resolve on that variable. The third outputs the result of all possible linear resolutions on the variables to forget. The fourth generates a clause from the points of contradiction during a backtracking search. The latter emerges as the winner, with the second and first having some role in specific cases. The linear resolution algorithm performs poorly in this implementation.

Abstract:Several forms of iterable belief change exist, differing in the kind of change and its strength: some operators introduce formulae, others remove them; some add formulae unconditionally, others only as additions to the previous beliefs; some only relative to the current situation, others in all possible cases. A sequence of changes may involve several of them: for example, the first step is a revision, the second a contraction and the third a refinement of the previous beliefs. The ten operators considered in this article are shown to be all reducible to three: lexicographic revision, refinement and severe withdrawal. In turn, these three can be expressed in terms of lexicographic revision at the cost of restructuring the sequence. This restructuring needs not to be done explicitly: an algorithm that works on the original sequence is shown. The complexity of mixed sequences of belief change operators is also analyzed. Most of them require only a polynomial number of calls to a satisfiability checker, some are even easier.

Abstract:Merging beliefs depends on the relative reliability of their sources. When unknown, assuming equal reliability is unwarranted. The solution proposed in this article is that every reliability profile is possible, and only what holds according to all is accepted. Alternatively, one source is completely reliable, but which one is unknown. These two cases motivate two existing forms of merging: maxcons-based merging and arbitration.
