



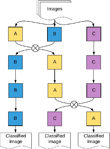
Abstract:In this article, we propose the approach to structural optimization of neural networks, based on the braid theory. The paper describes the basics of braid theory as applied to the description of graph structures of neural networks. It is shown how networks of various topologies can be built using braid structures between layers of neural networks. The operation of a neural network based on the braid theory is compared with a homogeneous deep neural network and a network with random intersections between layers that do not correspond to the ordering of the braids. Results are obtained showing the advantage of braid-based networks over comparable architectures in classification problems.




Abstract:In this article, we propose the approach to procedural optimization of a neural network, based on the combination of information theory and braid theory. The network studied in the article implemented with the intersections between the braid strands, as well as simplified networks (a network with strands without intersections and a simple convolutional deep neural network), are used to solve various problems of multiclass image classification that allow us to analyze the comparative effectiveness of the proposed architecture. The simulation results showed BraidNet's comparative advantage in learning speed and classification accuracy.




Abstract:Parallels between the signal processing tasks and biological neurons lead to an understanding of the principles of self-organized optimization of input signal recognition. In the present paper, we discuss such similarities among biological and technical systems. We propose the addition to the well-known STDP synaptic plasticity rule to directs the weight modification towards the state associated with the maximal difference between the background noise and correlated signals. The principle of physically constrained weight growth is used as a basis for such control of the modification of the weights. It is proposed, that biological synaptic straight modification is restricted by the existence and production of bio-chemical 'substances' needed for plasticity development. In this paper, the information about the noise-to-signal ratio is used to control such a substances' production and storage and to drive the neuron's synaptic pressures towards the state with the best signal-to-noise ratio. Several experiments with different input signal regimes are considered to understand the functioning of the proposed approach.




Abstract:Biological neurons have adaptive nature and perform complex computations involving the filtering of redundant information. Such processing is often associated with Bayesian inference. Yet most common models of neural cells, including biologically plausible, such as Hodgkin-Huxley or Izhikevich do not possess predictive dynamics on the level of a single cell. The modern rules of synaptic plasticity or interconnections weights adaptation also do not provide grounding for the ability of neurons to adapt to the ever-changing input signal intensity. While natural neuron synaptic growth is precisely controlled and restricted by protein supply and recycling, weight correction rules such as widely used STDP are efficiently unlimited in change rate and scale. In the present article, we will introduce new mechanics of interconnection between neuron firing rate homeostasis and weight change by means of STDP growth bounded by abstract protein reserve, controlled by the intracellular optimization algorithm. We will show, how these cellular dynamics help neurons to filter out the intense signals to help neurons keep a stable firing rate. We will also examine that such filtering does not affect the ability of neurons to recognize the correlated inputs in unsupervised mode. Such an approach might be used in the machine learning domain to improve the robustness of AI systems.