



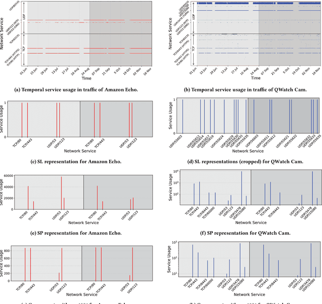
Abstract:Identifying devices such as cameras, printers, voice assistants, or health monitoring sensors, collectively known as the Internet of Things (IoT), within a network is a critical operational task, particularly to manage the cyber risks they introduce. While behavioral fingerprinting based on network traffic analysis has shown promise, most existing approaches rely on machine learning (ML) techniques applied to fine-grained features of short-lived traffic units (packets and/or flows). These methods tend to be computationally expensive, sensitive to traffic measurement errors, and often produce opaque inferences. In this paper, we propose a macroscopic, lightweight, and explainable alternative to behavioral fingerprinting focusing on the network services (e.g., TCP/80, UDP/53) that IoT devices use to perform their intended functions over extended periods. Our contributions are threefold. (1) We demonstrate that IoT devices exhibit stable and distinguishable patterns in their use of network services over a period of time. We formalize the notion of service-level fingerprints and derive a generalized method to represent network behaviors using a configurable granularity parameter. (2) We develop a procedure to extract service-level fingerprints, apply it to traffic from 13 consumer IoT device types in a lab testbed, and evaluate the resulting representations in terms of their convergence and recurrence properties. (3) We validate the efficacy of service-level fingerprints for device identification in closed-set and open-set scenarios. Our findings are based on a large dataset comprising about 10 million IPFIX flow records collected over a 1.5-year period.




Abstract:Millions of vulnerable consumer IoT devices in home networks are the enabler for cyber crimes putting user privacy and Internet security at risk. Internet service providers (ISPs) are best poised to play key roles in mitigating risks by automatically inferring active IoT devices per household and notifying users of vulnerable ones. Developing a scalable inference method that can perform robustly across thousands of home networks is a non-trivial task. This paper focuses on the challenges of developing and applying data-driven inference models when labeled data of device behaviors is limited and the distribution of data changes (concept drift) across time and space domains. Our contributions are three-fold: (1) We collect and analyze network traffic of 24 types of consumer IoT devices from 12 real homes over six weeks to highlight the challenge of temporal and spatial concept drifts in network behavior of IoT devices; (2) We analyze the performance of two inference strategies, namely "global inference" (a model trained on a combined set of all labeled data from training homes) and "contextualized inference" (several models each trained on the labeled data from a training home) in the presence of concept drifts; and (3) To manage concept drifts, we develop a method that dynamically applies the ``closest'' model (from a set) to network traffic of unseen homes during the testing phase, yielding better performance in 20% of scenarios.