



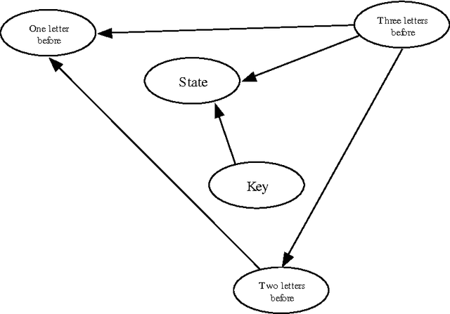
Abstract:A device which contains number of symbol input keys, where the number of available keys is less than the number of symbols of an alphabet of any given language, screen, and dynamic reordering table of the symbols which are mapped onto those keys, according to a disambiguation method based on the previously entered symbols. The device incorporates a previously entered keystrokes tracking mechanism, and the key selected by the user detector, as well as a mechanism to select the dynamic symbol reordering mapped onto this key according to the information contained to the reordering table. The reordering table occurs from a disambiguation method which reorders the symbol appearance. The reordering information occurs from Bayesian Belief network construction and training from text corpora of the specific language.