



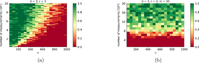
Abstract:We propose a message passing algorithm, based on variational Bayesian inference, for low-rank tensor completion with automatic rank determination in the canonical polyadic format when additional side information (SI) is given. The SI comes in the form of low-dimensional subspaces the contain the fiber spans of the tensor (columns, rows, tubes, etc.). We validate the regularization properties induced by SI with extensive numerical experiments on synthetic and real-world data and present the results about tensor recovery and rank determination. The results show that the number of samples required for successful completion is significantly reduced in the presence of SI. We also discuss the origin of a bump in the phase transition curves that exists when the dimensionality of SI is comparable with that of the tensor.


Abstract:In this work we estimate the number of randomly selected elements of a tensor that with high probability guarantees local convergence of Riemannian gradient descent for tensor train completion. We derive a new bound for the orthogonal projections onto the tangent spaces based on the harmonic mean of the unfoldings' singular values and introduce a notion of core coherence for tensor trains. We also extend the results to tensor train completion with side information and obtain the corresponding local convergence guarantees.