



Abstract:In this paper, we identify optical reconfigurable intelligent surfaces (ORISs) as key enablers of next-generation free-space optical (FSO) multiple access systems. By leveraging their beam steering and beam splitting capabilities, ORISs are able to effectively address line-of-sight (LoS) constraints, while enabling multi-user connectivity. We consider an ORIS-assisted non-orthogonal multiple access (NOMA) system model consisting of a single transmitter (Tx) and two receivers (Rxs). We derive novel analytical expressions to characterize the statistical particularities of the Tx-ORIS-Rx communication channel. Building upon the aforementioned expressions, we investigate the outage performance of the Rxs by deriving exact analytical expressions for the outage probability (OP) of each Rx. To provide deeper insights into the impact of various system parameters and physical conditions on the outage performance of each Rx, we conduct a high signal-to-noise ratio (SNR) analysis, that returns asymptotic expressions for the Rxs OPs at the high-SNR regime. Monte Carlo simulations validate the analysis, demonstrate the effectiveness of ORIS-enabled NOMA under a variety of configurations and physical scenarios, and showcase its superiority over its orthogonal-based counterpart.




Abstract:A fundamental objective of the forthcoming sixth-generation wireless networks is to concurrently serve a vast array of devices many of which, such as Internet-of-Things (IoT) sensors, are projected to have low power requirements or even operate in a battery-free manner. To achieve this goal, non-orthogonal multiple access (NOMA) and ambient backscatter communications (AmBC) are regarded as two pivotal and promising technologies. In this work, we present a novel analytical framework for studying the reliability and security of uplink NOMA-based AmBC systems. Specifically, closed-form analytical expressions for both NOMA-users' and IoT backscatter device's (BD's) outage probabilities (OPs) are derived for both cases of perfect and imperfect successive interference cancellation (SIC). In addition, assuming that one NOMA-user transmits an artificial noise in order to enhance system's security, the physical layer security (PLS) of the system is investigated by extracting analytical expressions for NOMA-users' and BD's intercept probabilities (IPs). To gain insightful understandings, an asymptotic analysis is carried out by focusing on the high signal-to-noise (SNR) regime, which reveals that NOMA-users and BDs face outage floors in the high SNR regime as well as that IPs reach constant values at high SNR. Additionally, practical insights regarding how different system parameters affect these OP floors and IP constant values are extracted. Numerical results verify the accuracy of othe developed theoretical framework, offer performance comparisons between the presented NOMA-based AmBC system and a conventional orthogonal multiple access-based AmBC system, and reveal the impact of different system parameters on the reliability and security of NOMA-based AmBC networks.
Abstract:This paper investigates the usage of hybrid automatic repeat request (HARQ) protocols for power-efficient and reliable communications over free space optical (FSO) links. By exploiting the large coherence time of the FSO channel, the proposed transmission schemes combat turbulence-induced fading by retransmitting the failed packets in the same coherence interval. To assess the performance of the presented HARQ technique, we extract a theoretical framework for the outage performance. In more detail, a closed-form expression for the outage probability (OP) is reported and an approximation for the high signal-to-noise ratio (SNR) region is extracted. Building upon the theoretical framework, we formulate a transmission power allocation problem throughout the retransmission rounds. This optimization problem is solved numerically through the use of an iterative algorithm. In addition, the average throughput of the HARQ schemes under consideration is examined. Simulation results validate the theoretical analysis under different turbulence conditions and demonstrate the performance improvement, in terms of both OP and throughput, of the proposed HARQ schemes compared to fixed transmit power HARQ benchmarks.




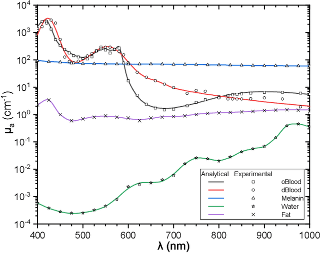
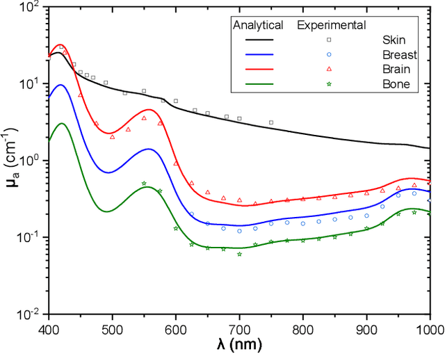
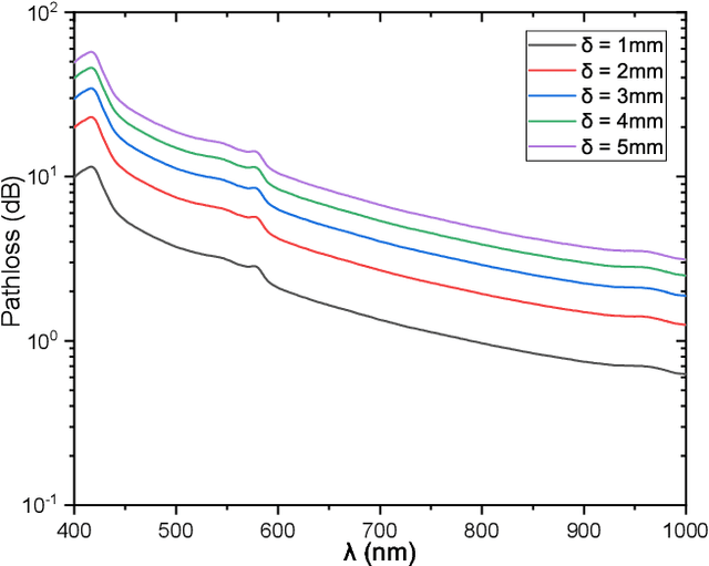
Abstract:Next generation in-to-out-of body biomedical applications have adopted optical wireless communications (OWCs). However, by delving into the published literature, a gap is recognised in modeling the in-to-out-of channel, since most published contributions neglect the particularities of different type of tissues. Towards this direction, in this paper we present a novel pathloss and scattering models for in-to-out-of OWC links. Specifically, we derive extract analytical expressions that accurately describe the absorption of the five main tissues' constituents, namely fat, water, melanin, oxygenated and de-oxygenated blood. Moreover, we formulate a model for the calculation of the absorption coefficient of any generic biological tissue. Next, by incorporating the impact of scattering in the aforementioned model we formulate the complete pathloss model. The developed theoretical framework is verified by means of comparisons between the estimated pathloss and experimental measurements from independent research works. Finally, we illustrate the accuracy of the theoretical framework in estimating the optical properties of any generic tissue based on its constitution. The extracted channel model is capable of boosting the design of optimized communication protocols for a plethora of biomedical applications.




Abstract:Optical wireless communications (OWCs) have been recognized as a candidate enabler of next generation in-body nano-scale networks and implants. The development of an accurate channel model capable of accommodating the particularities of different type of tissues is expected to boost the design of optimized communication protocols for such applications. Motivated by this, this paper focuses on presenting a general pathloss model for in-body OWCs. In particular, we use experimental measurements in order to extract analytical expressions for the absorption coefficients of the five main tissues' constitutions, namely oxygenated and de-oxygenated blood, water, fat, and melanin. Building upon these expressions, we derive a general formula for the absorption coefficient evaluation of any biological tissue. To verify the validity of this formula, we compute the absorption coefficient of complex tissues and compare them against respective experimental results reported by independent research works. Interestingly, we observe that the analytical formula has high accuracy and is capable of modeling the pathloss and, therefore, the penetration depth in complex tissues.