Abstract:The rapid evolution of artificial intelligence (AI), especially in the domain of Large Language Models (LLMs) and generative AI, has opened new avenues for application across various fields, yet its role in business education remains underexplored. This study introduces the first benchmark to assess the performance of seven major LLMs, OpenAI's models (GPT-3.5 Turbo, GPT-4, and GPT-4 Turbo), Google's models (PaLM 2, Gemini 1.0 Pro), and Anthropic's models (Claude 2 and Claude 2.1), on the GMAT, which is a key exam in the admission process for graduate business programs. Our analysis shows that most LLMs outperform human candidates, with GPT-4 Turbo not only outperforming the other models but also surpassing the average scores of graduate students at top business schools. Through a case study, this research examines GPT-4 Turbo's ability to explain answers, evaluate responses, identify errors, tailor instructions, and generate alternative scenarios. The latest LLM versions, GPT-4 Turbo, Claude 2.1, and Gemini 1.0 Pro, show marked improvements in reasoning tasks compared to their predecessors, underscoring their potential for complex problem-solving. While AI's promise in education, assessment, and tutoring is clear, challenges remain. Our study not only sheds light on LLMs' academic potential but also emphasizes the need for careful development and application of AI in education. As AI technology advances, it is imperative to establish frameworks and protocols for AI interaction, verify the accuracy of AI-generated content, ensure worldwide access for diverse learners, and create an educational environment where AI supports human expertise. This research sets the stage for further exploration into the responsible use of AI to enrich educational experiences and improve exam preparation and assessment methods.




Abstract:Harnessing collective intelligence to drive effective decision-making and collaboration benefits from the ability to detect and characterize heterogeneity in consensus beliefs. This is particularly true in domains such as technology acceptance or leadership perception, where a consensus defines an intersubjective truth, leading to the possibility of multiple "ground truths" when subsets of respondents sustain mutually incompatible consensuses. Cultural Consensus Theory (CCT) provides a statistical framework for detecting and characterizing these divergent consensus beliefs. However, it is unworkable in modern applications because it lacks the ability to generalize across even highly similar beliefs, is ineffective with sparse data, and can leverage neither external knowledge bases nor learned machine representations. Here, we overcome these limitations through Infinite Deep Latent Construct Cultural Consensus Theory (iDLC-CCT), a nonparametric Bayesian model that extends CCT with a latent construct that maps between pretrained deep neural network embeddings of entities and the consensus beliefs regarding those entities among one or more subsets of respondents. We validate the method across domains including perceptions of risk sources, food healthiness, leadership, first impressions, and humor. We find that iDLC-CCT better predicts the degree of consensus, generalizes well to out-of-sample entities, and is effective even with sparse data. To improve scalability, we introduce an efficient hard-clustering variant of the iDLC-CCT using an algorithm derived from a small-variance asymptotic analysis of the model. The iDLC-CCT, therefore, provides a workable computational foundation for harnessing collective intelligence under a lack of cultural consensus and may potentially form the basis of consensus-aware information technologies.

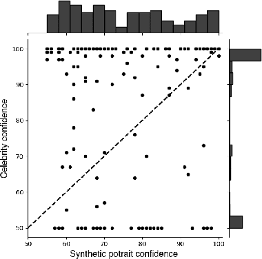
Abstract:Generative A.I. models have emerged as versatile tools across diverse industries, with applications in privacy-preserving data sharing, computational art, personalization of products and services, and immersive entertainment. Here, we introduce a new privacy concern in the adoption and use of generative A.I. models: that of coincidental generation, where a generative model's output is similar enough to an existing entity, beyond those represented in the dataset used to train the model, to be mistaken for it. Consider, for example, synthetic portrait generators, which are today deployed in commercial applications such as virtual modeling agencies and synthetic stock photography. Due to the low intrinsic dimensionality of human face perception, every synthetically generated face will coincidentally resemble an actual person. Such examples of coincidental generation all but guarantee the misappropriation of likeness and expose organizations that use generative A.I. to legal and regulatory risk.