



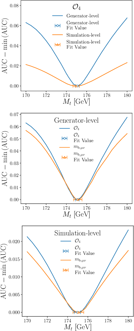
Abstract:Histogram-based template fits are the main technique used for estimating parameters of high energy physics Monte Carlo generators. Parameterized neural network reweighting can be used to extend this fitting procedure to many dimensions and does not require binning. If the fit is to be performed using reconstructed data, then expensive detector simulations must be used for training the neural networks. We introduce a new two-level fitting approach that only requires one dataset with detector simulation and then a set of additional generation-level datasets without detector effects included. This Simulation-level fit based on Reweighting Generator-level events with Neural networks (SRGN) is demonstrated using simulated datasets for a variety of examples including a simple Gaussian random variable, parton shower tuning, and the top quark mass extraction.