Abstract:One of the key issues facing Direct-to-Cellular (D2C) satellite communication systems is ionospheric scintillation on the uplink and downlink, which can significantly degrade link quality. This work investigates the spatial and temporal characteristics of amplitude scintillation at D2C frequencies by scaling L-band scintillation observations from Global Navigation Satellite Systems (GNSS) receivers to bands relevant to D2C operation, including the low-band, and 3GPP's N255 and N256. These observations are then compared to scaled radio-occultation scintillation observations from the FORMOSAT-7/COSMIC-2 (F7/C2) mission, which can be used in regions that do not possess ground-based scintillation monitoring stations. As a proof of concept, five years of ground-based GNSS scintillation data from Sharjah, United Arab Emirates, together with two years of F7/C2 observations over the same region, corresponding to the ascending phase of Solar Cycle 25, are analyzed. Both space-based and ground-based observations indicate a pronounced diurnal scintillation peak between 20--22 local time, particularly during the equinoxes, with occurrence rates increasing with solar activity. Ground-based observations also reveal a strong azimuth dependence, with most scintillation events occurring on southward satellite links. The scintillation occurrence rate at the low-band is more than twice that observed at N255 and N256, highlighting the increased robustness of higher D2C bands to ionospheric scintillation. These results demonstrate how GNSS scintillation observations can be leveraged to characterize and anticipate scintillation-induced D2C link impairments, which help in D2C system design and the implementation of scintillation mitigation strategies.




Abstract:This study investigates the spatial and temporal characteristics of L1 amplitude scintillation-causing ionospheric irregularities over the Eastern Arabian Peninsula during the ascending phase of solar cycle 25 (years 2020--2023). The temporal occurrences of weak and strong scintillation were separated by sunset, with weak scintillation observed predominantly pre-sunset during the winter solstice and strong scintillation observed mainly post-sunset during the autumnal equinox. Strong scintillation was much more pronounced in 2023 compared to the other three years, indicating a strong influence of solar activity. Spatially, weak-scintillation-causing irregularities exhibited a wide distribution in azimuth and elevation, while strong-scintillation-causing irregularities were concentrated southwards. The combined analysis of S4 and rate of total electron content index (ROTI) suggested that small-scale ionospheric irregularities were present in both pre- and post-sunset periods, while large-scale irregularities were only seen during the post-sunset period. Furthermore, the presence of southward traveling ionospheric disturbances (TIDs) during the 2023 autumnal equinox was confirmed with the total electron content anomaly ($\Delta\text{TEC}$), while the Ionospheric Bubble Index (IBI) provided by the Swarm mission was unable to confirm the presence of equatorial plasma bubbles during the same period. Observations from the FORMOSAT-7/COSMIC-2 mission indicated that strong-scintillation-causing irregularities were more prevalent under the F2-layer peak, while the weak-scintillation-causing irregularities were mostly observed at the E-layer, F2-layer, and above the F2-layer.




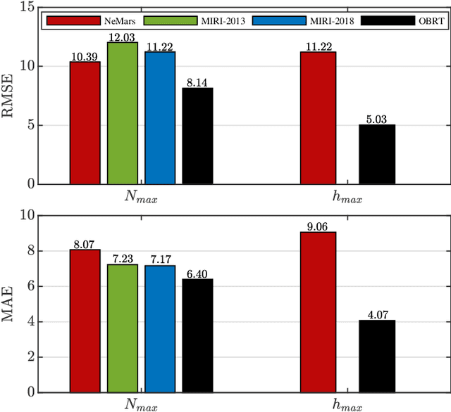
Abstract:The availability of Martian atmospheric data provided by several Martian missions broadened the opportunity to investigate and study the conditions of the Martian ionosphere. As such, ionospheric models play a crucial part in improving our understanding of ionospheric behavior in response to different spatial, temporal, and space weather conditions. This work represents an initial attempt to construct an electron density prediction model of the Martian ionosphere using machine learning. The model targets the ionosphere at solar zenith ranging from 70 to 90 degrees, and as such only utilizes observations from the Mars Global Surveyor mission. The performance of different machine learning methods was compared in terms of root mean square error, coefficient of determination, and mean absolute error. The bagged regression trees method performed best out of all the evaluated methods. Furthermore, the optimized bagged regression trees model outperformed other Martian ionosphere models from the literature (MIRI and NeMars) in finding the peak electron density value, and the peak density height in terms of root-mean-square error and mean absolute error.




Abstract:Electron density irregularities present within the ionosphere induce significant fluctuations in global navigation satellite system (GNSS) signals. Fluctuations in signal power are referred to as amplitude scintillation and can be monitored through the S4 index. Forecasting the severity of amplitude scintillation based on historical S4 index data is beneficial when real-time data is unavailable. In this work, we study the possibility of using historical data from a single GPS scintillation monitoring receiver to train a machine learning (ML) model to forecast the severity of amplitude scintillation, either weak, moderate, or severe, with respect to temporal and spatial parameters. Six different ML models were evaluated and the bagged trees model was the most accurate among them, achieving a forecasting accuracy of $81\%$ using a balanced dataset, and $97\%$ using an imbalanced dataset.