Abstract:A new Genetic Programming variant called Liquid State Genetic Programming (LSGP) is proposed in this paper. LSGP is a hybrid method combining a dynamic memory for storing the inputs (the liquid) and a Genetic Programming technique used for the problem solving part. Several numerical experiments with LSGP are performed by using several benchmarking problems. Numerical experiments show that LSGP performs similarly and sometimes even better than standard Genetic Programming for the considered test problems.




Abstract:Determining the author of a text is a difficult task. Here we compare multiple AI techniques for classifying literary texts written by multiple authors by taking into account a limited number of speech parts (prepositions, adverbs, and conjunctions). We also introduce a new dataset composed of texts written in the Romanian language on which we have run the algorithms. The compared methods are Artificial Neural Networks, Support Vector Machines, Multi Expression Programming, Decision Trees with C5.0, and k-Nearest Neighbour. Numerical experiments show, first of all, that the problem is difficult, but some algorithms are able to generate decent errors on the test set.




Abstract:Multi Expression Programming (MEP) is a Genetic Programming variant which encodes multiple solutions in a single chromosome. This paper introduces and deeply describes several strategies for solving binary and multi-class classification problems within the \textit{multi solutions per chromosome} paradigm of MEP. Extensive experiments on various classification problems are performed. MEP shows similar or better performances than other methods used for comparison (namely Artificial Neural Networks and Linear Genetic Programming).
Abstract:We investigate the possibility of encoding multiple solutions of a problem in a single chromosome. The best solution encoded in an individual will represent (will provide the fitness of) that individual. In order to obtain some benefits the chromosome decoding process must have the same complexity as in the case of a single solution in a chromosome. Three Genetic Programming techniques are analyzed for this purpose: Multi Expression Programming, Linear Genetic Programming, and Infix Form Genetic Programming. Numerical experiments show that encoding multiple solutions in a chromosome greatly improves the search process.

Abstract:A new model for evolving Evolutionary Algorithms (EAs) is proposed in this paper. The model is based on the Multi Expression Programming (MEP) technique. Each MEP chromosome encodes an evolutionary pattern that is repeatedly used for generating the individuals of a new generation. The evolved pattern is embedded into a standard evolutionary scheme that is used for solving a particular problem. Several evolutionary algorithms for function optimization are evolved by using the considered model. The evolved evolutionary algorithms are compared with a human-designed Genetic Algorithm. Numerical experiments show that the evolved evolutionary algorithms can compete with standard approaches for several well-known benchmarking problems.
Abstract:Traceless Genetic Programming (TGP) is a Genetic Programming (GP) variant that is used in cases where the focus is rather the output of the program than the program itself. The main difference between TGP and other GP techniques is that TGP does not explicitly store the evolved computer programs. Two genetic operators are used in conjunction with TGP: crossover and insertion. In this paper, we shall focus on how to apply TGP for solving multi-objective optimization problems which are quite unusual for GP. Each TGP individual stores the output of a computer program (tree) representing a point in the search space. Numerical experiments show that TGP is able to solve very fast and very well the considered test problems.




Abstract:A genetic programming (GP) variant called traceless genetic programming (TGP) is proposed in this paper. TGP is a hybrid method combining a technique for building individuals and a technique for representing individuals. The main difference between TGP and other GP techniques is that TGP does not explicitly store the evolved computer programs. Two genetic operators are used in conjunction with TGP: crossover and insertion. TGP is applied for evolving digital circuits for the even-parity problem. Numerical experiments show that TGP outperforms standard GP with several orders of magnitude.




Abstract:Automatic Programming is one of the most important areas of computer science research today. Hardware speed and capability have increased exponentially, but the software is years behind. The demand for software has also increased significantly, but it is still written in old fashion: by using humans. There are multiple problems when the work is done by humans: cost, time, quality. It is costly to pay humans, it is hard to keep them satisfied for a long time, it takes a lot of time to teach and train them and the quality of their output is in most cases low (in software, mostly due to bugs). The real advances in human civilization appeared during the industrial revolutions. Before the first revolution, most people worked in agriculture. Today, very few percent of people work in this field. A similar revolution must appear in the computer programming field. Otherwise, we will have so many people working in this field as we had in the past working in agriculture. How do people know how to write computer programs? Very simple: by learning. Can we do the same for software? Can we put the software to learn how to write software? It seems that is possible (to some degree) and the term is called Machine Learning. It was first coined in 1959 by the first person who made a computer perform a serious learning task, namely, Arthur Samuel. However, things are not so easy as in humans (well, truth to be said - for some humans it is impossible to learn how to write software). So far we do not have software that can learn perfectly to write software. We have some particular cases where some programs do better than humans, but the examples are sporadic at best. Learning from experience is difficult for computer programs. Instead of trying to simulate how humans teach humans how to write computer programs, we can simulate nature.




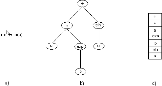
Abstract:Multi Expression Programming (MEP) is a Genetic Programming variant that uses a linear representation of chromosomes. MEP individuals are strings of genes encoding complex computer programs. When MEP individuals encode expressions, their representation is similar to the way in which compilers translate $C$ or $Pascal$ expressions into machine code. A unique MEP feature is the ability to store multiple solutions of a problem in a single chromosome. Usually, the best solution is chosen for fitness assignment. When solving symbolic regression or classification problems (or any other problems for which the training set is known before the problem is solved) MEP has the same complexity as other techniques storing a single solution in a chromosome (such as GP, CGP, GEP or GE). Evaluation of the expressions encoded into an MEP individual can be performed by a single parsing of the chromosome. Offspring obtained by crossover and mutation is always syntactically correct MEP individuals (computer programs). Thus, no extra processing for repairing newly obtained individuals is needed.




Abstract:Jenny 5 is a fully open-source robot intended to be used mainly for research but can also act as a human assistant. It has a mobile platform with rubber tracks, a flexible leg, two arms with 7 degrees of freedom each and head with 2 degrees of freedom. The robot is actuated by 20 motors (DC, steppers and servos) and its state is read with the help of many sensors. The robot also has 3 webcams for computer vision tasks. In this paper the current state of the robot is described.