PIMENT




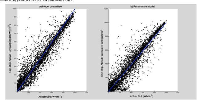
Abstract:This paper proposes to use a rather new modelling approach in the realm of solar radiation forecasting. In this work, two forecasting models: Autoregressive Moving Average (ARMA) and Neural Network (NN) models are combined to form a model committee. The Bayesian inference is used to affect a probability to each model in the committee. Hence, each model's predictions are weighted by their respective probability. The models are fitted to one year of hourly Global Horizontal Irradiance (GHI) measurements. Another year (the test set) is used for making genuine one hour ahead (h+1) out-of-sample forecast comparisons. The proposed approach is benchmarked against the persistence model. The very first results show an improvement brought by this approach.