



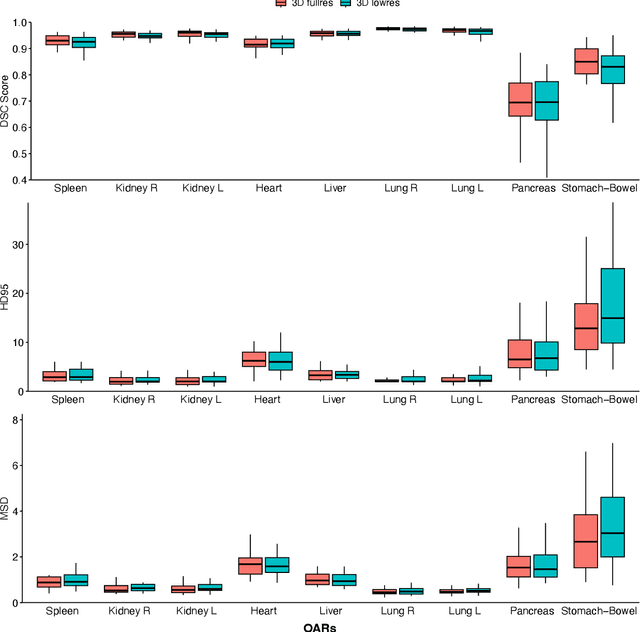
Abstract:Purposes: This study aimed to develop a computed tomography (CT)-based multi-organ segmentation model for delineating organs-at-risk (OARs) in pediatric upper abdominal tumors and evaluate its robustness across multiple datasets. Materials and methods: In-house postoperative CTs from pediatric patients with renal tumors and neuroblastoma (n=189) and a public dataset (n=189) with CTs covering thoracoabdominal regions were used. Seventeen OARs were delineated: nine by clinicians (Type 1) and eight using TotalSegmentator (Type 2). Auto-segmentation models were trained using in-house (ModelPMC-UMCU) and a combined dataset of public data (Model-Combined). Performance was assessed with Dice Similarity Coefficient (DSC), 95% Hausdorff Distance (HD95), and mean surface distance (MSD). Two clinicians rated clinical acceptability on a 5-point Likert scale across 15 patient contours. Model robustness was evaluated against sex, age, intravenous contrast, and tumor type. Results: Model-PMC-UMCU achieved mean DSC values above 0.95 for five of nine OARs, while spleen and heart ranged between 0.90 and 0.95. The stomach-bowel and pancreas exhibited DSC values below 0.90. Model-Combined demonstrated improved robustness across both datasets. Clinical evaluation revealed good usability, with both clinicians rating six of nine Type 1 OARs above four and six of eight Type 2 OARs above three. Significant performance 2 differences were only found across age groups in both datasets, specifically in the left lung and pancreas. The 0-2 age group showed the lowest performance. Conclusion: A multi-organ segmentation model was developed, showcasing enhanced robustness when trained on combined datasets. This model is suitable for various OARs and can be applied to multiple datasets in clinical settings.