TU Wien
Abstract:Future wireless multiple-input multiple-output (MIMO) systems will integrate both sub-6 GHz and millimeter wave (mmWave) frequency bands to meet the growing demands for high data rates. MIMO link establishment typically requires accurate channel estimation, which is particularly challenging at mmWave frequencies due to the low signal-to-noise ratio (SNR). In this paper, we propose two novel deep learning-based methods for estimating mmWave MIMO channels by leveraging out-of-band information from the sub-6 GHz band. The first method employs a convolutional neural network (CNN), while the second method utilizes a UNet architecture. We compare these proposed methods against deep-learning methods that rely solely on in-band information and with other state-of-the-art out-of-band aided methods. Simulation results show that our proposed out-of-band aided deep-learning methods outperform existing alternatives in terms of achievable spectral efficiency.
Abstract:Distinguishing between reconfigurable intelligent surface (RIS) assisted paths and non-line-of-sight (NLOS) paths is a fundamental problem for RIS-assisted integrated sensing and communication. In this work, we propose a pattern alternation scheme for the RIS response that uses part of the RIS as a dynamic part to modulate the estimated channel power, which can considerably help the user equipments (UEs) to identify the RIS-assisted paths. Under such a dynamic setup, we formulate the detection framework for a single UE, where we develop a statistical model of the estimated channel power, allowing us to analytically evaluate the performance of the system. We investigate our method under two critical factors: the number of RIS elements allocated for the dynamic part and the allocation of RIS elements among different users. Simulation results verify the accuracy of our analysis.




Abstract:Integrated sensing and communication (ISAC) is envisioned be to one of the paradigms upon which next-generation mobile networks will be built, extending localization and tracking capabilities, as well as giving birth to environment-aware wireless access. A key aspect of sensing integration is parameter estimation, which involves extracting information about the surrounding environment, such as the direction, distance, and velocity of various objects within. This is typically of a high-dimensional nature, which leads to significant computational complexity, if performed jointly across multiple sensing dimensions, such as space, frequency, and time. Additionally, due to the incorporation of sensing on top of the data transmission, the time window available for sensing is likely to be short, resulting in an estimation problem where only a single snapshot is accessible. In this work, we propose PLAIN, a tensor-based estimation architecture that flexibly scales with multiple sensing dimensions and can handle high dimensionality, limited measurement time, and super-resolution requirements. It consists of three stages: a compression stage, where the high dimensional input is converted into lower dimensionality, without sacrificing resolution; a decoupled estimation stage, where the parameters across the different dimensions are estimated in parallel with low complexity; an input-based fusion stage, where the decoupled parameters are fused together to form a paired multidimensional estimate. We investigate the performance of the architecture for different configurations and compare it against practical sequential and joint estimation baselines, as well as theoretical bounds. Our results show that PLAIN, using tools from tensor algebra, subspace-based processing, and compressed sensing, can scale flexibly with dimensionality, while operating with low complexity and maintaining super-resolution.
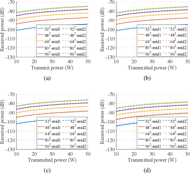
Abstract:In this study, we elaborate on the concept of scalable anomalous reflector (AR) to analyze the angular response, frequency response, and spatial scalability of a designed AR across a broad range of angles and frequencies. We utilize theoretical models and ray tracing simulations to investigate the communication performance of two different-sized scalable finite ARs, one smaller configuration with 48 x 48 array of unit cells and the other constructed by combining four smaller ARs to form a larger array with 96 x 96 unit cells. To validate the developed theoretical approach, we conducted measurements in an auditorium to evaluate the received power through an AR link at different angles and frequencies. In addition, models of scalable deflectors are implemented in the MATLAB ray tracer to simulate the measurement scenario. The results from theoretical calculations and ray tracing simulations achieve good agreement with measurement results.
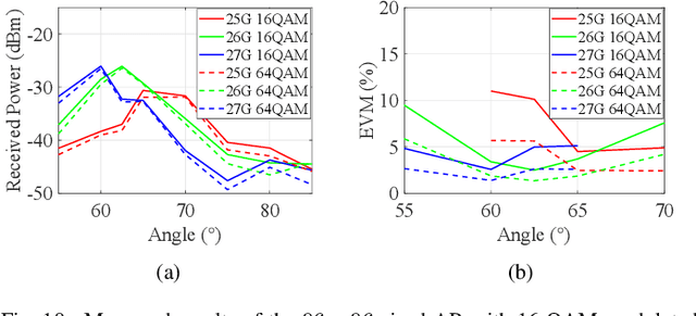
Abstract:In this paper, we systematically study the electromagnetic (EM) and communication aspects of an RIS through EM simulations, system-level and ray-tracing simulations, and finally measurements. We simulate a nearly perfect, lossless RIS, and a realistic lossy anomalous reflector (AR) in different ray tracers and analyze the large-scale fading of simple RIS-assisted links. We also compare the results with continuous and quantized unit cell reflection phases with one to four-bit resolutions. Finally, we perform over-the-air communication link measurements in an indoor setting with a manufactured sample of a wide-angle AR. The EM, system-level, and ray-tracing simulation results show good agreement with the measurement results. It is proved that the introduced macroscopic model of RIS from the EM aspects is consistent with our proposed communication models, both for an ideal RIS and a realistic AR.




Abstract:In this work, we present a wireless localization method that operates on self-supervised and unlabeled channel estimates. Our self-supervising method learns general-purpose channel features robust to fading and system impairments. Learned representations are easily transferable to new environments and ready to use for other wireless downstream tasks. To the best of our knowledge, the proposed method is the first joint-embedding self-supervised approach to forsake the dependency on contrastive channel estimates. Our approach outperforms fully-supervised techniques in small data regimes under fine-tuning and, in some cases, linear evaluation. We assess the performance in centralized and distributed massive MIMO systems for multiple datasets. Moreover, our method works indoors and outdoors without additional assumptions or design changes.




Abstract:Deep neural networks (DNNs) have become a popular approach for wireless localization based on channel state information (CSI). A common practice is to use the raw CSI in the input and allow the network to learn relevant channel representations for mapping to location information. However, various works show that raw CSI can be very sensitive to system impairments and small changes in the environment. On the contrary, hand-designing features may hinder the limits of channel representation learning of the DNN. In this work, we propose attention-based CSI for robust feature learning. We evaluate the performance of attended features in centralized and distributed massive MIMO systems for ray-tracing channels in two non-stationary railway track environments. By comparison to a base DNN, our approach provides exceptional performance.




Abstract:In this paper, we consider the problem of activity detection in grant-free code-domain non-orthogonal multiple access (NOMA). We focus on performing activity detection via subspace methods under a setup where the data and pilot spreading signatures are of different lengths, and consider a realistic frame-structure similar to existing mobile networks. We investigate the impact of channel correlation on the activity detection performance; first, we consider the case where the channel exhibits high correlation in time and frequency and show how it can heavily deteriorate the performance. To tackle that, we propose to apply user-specific masking sequences overlaid on top of the pilot signatures. Second, we consider the other extreme with the channel being highly selective, and show that it can also negatively impact the performance. We investigate possible pilots' reallocation strategies that can help reduce its impact.




Abstract:In this work, we consider estimating user positions in a spatially distributed antenna system (DAS) from the uplink channel state information (CSI). However, with the increased number of remote radio heads (RRHs), collecting CSI at a central unit (CU) can significantly increase the fronthaul overhead and computational complexity of the CU. This problem can be mitigated by selecting a subset of RRHs. Thus, we present a deep learning-based approach to select a subset of RRHs for wireless localization. We employ an RRH selection layer that is jointly trained with the rest of the network and learn the model parameters as well as the set of selected RRHs. We show that the selection strategy comes at a relatively small cost of localization performance. Nonetheless, by comparison to a trivial approach based on the maximization of the channel gain, we show that the proposed method leads to significant performance gains in a propagation environment dominated by non-line-of-sight.




Abstract:Existing deep neural network (DNN) based wireless localization approaches typically do not capture uncertainty inherent in their estimates. In this work, we propose and evaluate variational and scalable DNN approaches to measure the uncertainty as a result of changing propagation conditions and the finite number of training samples. Furthermore, we show that data uncertainty is sufficient to capture the uncertainty due to non-line-of-sight (NLOS) and, model uncertainty improves the overall reliability. To assess the robustness due to channel conditions and out-of-set regions, we evaluate the methods on challenging massive multiple-input multiple-output (MIMO) scenarios.