

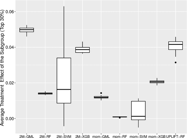
Abstract:Today, treatment effect estimation at the individual level is a vital problem in many areas of science and business. For example, in marketing, estimates of the treatment effect are used to select the most efficient promo-mechanics; in medicine, individual treatment effects are used to determine the optimal dose of medication for each patient and so on. At the same time, the question on choosing the best method, i.e., the method that ensures the smallest predictive error (for instance, RMSE) or the highest total (average) value of the effect, remains open. Accordingly, in this paper we compare the effectiveness of machine learning methods for estimation of individual treatment effects. The comparison is performed on the Criteo Uplift Modeling Dataset. In this paper we show that the combination of the Logistic Regression method and the Difference Score method as well as Uplift Random Forest method provide the best correctness of Individual Treatment Effect prediction on the top 30\% observations of the test dataset.