



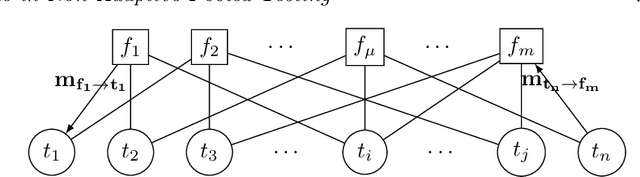
Abstract:Medical diagnostic testing can be made significantly more efficient using pooled testing protocols. These typically require a sparse infection signal and use either binary or real-valued entries of O(1). However, existing methods do not allow for inferring viral loads which span many orders of magnitude. We develop a message passing algorithm coupled with a PCR (Polymerase Chain Reaction) specific noise function to allow accurate inference of realistic viral load signals. This work is in the non-adaptive setting and could open the possibility of efficient screening where viral load determination is clinically important.