



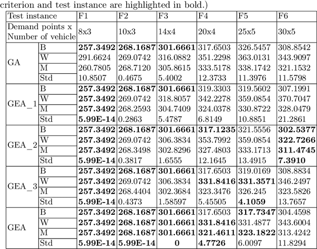
Abstract:Genetic Algorithms (GAs) are known for their efficiency in solving combinatorial optimization problems, thanks to their ability to explore diverse solution spaces, handle various representations, exploit parallelism, preserve good solutions, adapt to changing dynamics, handle combinatorial diversity, and provide heuristic search. However, limitations such as premature convergence, lack of problem-specific knowledge, and randomness of crossover and mutation operators make GAs generally inefficient in finding an optimal solution. To address these limitations, this paper proposes a new metaheuristic algorithm called the Genetic Engineering Algorithm (GEA) that draws inspiration from genetic engineering concepts. GEA redesigns the traditional GA while incorporating new search methods to isolate, purify, insert, and express new genes based on existing ones, leading to the emergence of desired traits and the production of specific chromosomes based on the selected genes. Comparative evaluations against state-of-the-art algorithms on benchmark instances demonstrate the superior performance of GEA, showcasing its potential as an innovative and efficient solution for combinatorial optimization problems.




Abstract:The paper explores mathematical methods that differentiate regular and chaotic time series, specifically for identifying pathological fistulas. It proposes a noise-resistant method for classifying responding rows of normally and pathologically functioning fistulas. This approach is grounded in the hypothesis that laminar blood flow signifies normal function, while turbulent flow indicates pathology. The study explores two distinct methods for distinguishing chaotic from regular time series. The first method involves mapping the time series onto the entropy-complexity plane and subsequently comparing it to established clusters. The second method, introduced by the authors, constructs a concepts-objects graph using formal concept analysis. Both of these methods exhibit high efficiency in determining the state of the fistula.