



Abstract:We present our work on leveraging low-frame-rate monochrome (blue light) videos of fingertips, captured with an off-the-shelf fingerprint capture device, to extract vital signs and identify users. These videos utilize photoplethysmography (PPG), commonly used to measure vital signs like heart rate. While prior research predominantly utilizes high-frame-rate, multi-wavelength PPG sensors (e.g., infrared, red, or RGB), our preliminary findings demonstrate that both user identification and vital sign extraction are achievable with the low-frame-rate data we collected. Preliminary results are promising, with low error rates for both heart rate estimation and user authentication. These results indicate promise for effective biometric systems. We anticipate further optimization will enhance accuracy and advance healthcare and security.
Abstract:In this innovative practice work-in-progress paper, we compare two different methods to teach machine learning concepts to undergraduate students in Electrical Engineering. While machine learning is now being offered as a senior-level elective in several curricula, this does not mean all students are exposed to it. Exposure to the concepts and practical applications of machine learning will assist in the creation of a workforce ready to tackle problems related to machine learning, currently a hot topic in industry. Preliminary assessments indicate that this approach promotes student learning. While students prefer the proposed side-by-side teaching approach, numerical comparisons show that the workshop approach may be more effective for student learning, indicating that further work in this area is required.




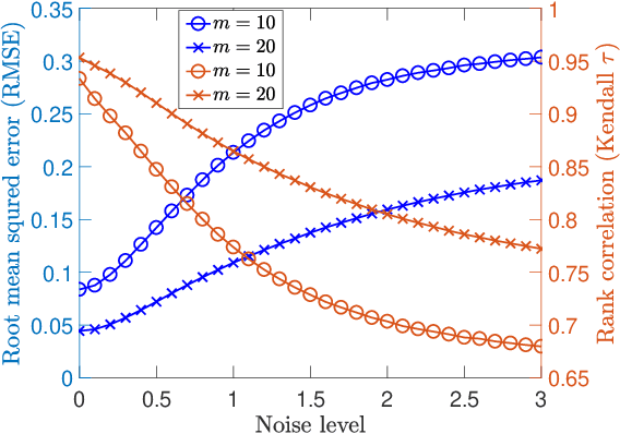
Abstract:A main challenge in target localization arises from the lack of reliable distance measures. This issue is especially pronounced in indoor settings due to the presence of walls, floors, furniture, and other dynamically changing conditions such as the movement of people and goods, varying temperature, and airflows. Here, we develop a new computational framework to estimate the location of a target without the need for reliable distance measures. The method, which we term Ordinal UNLOC, uses only ordinal data obtained from comparing the signal strength from anchor pairs at known locations to the target. Our estimation technique utilizes rank aggregation, function learning as well as proximity-based unfolding optimization. As a result, it yields accurate target localization for common transmission models with unknown parameters and noisy observations that are reminiscent of practical settings. Our results are validated by both numerical simulations and hardware experiments.