Abstract:Advanced radio-frequency pulse design used in magnetic resonance imaging has recently been demonstrated with deep learning of (convolutional) neural networks and reinforcement learning. For two-dimensionally selective radio-frequency pulses, the (convolutional) neural network pulse prediction time (few milliseconds) was in comparison more than three orders of magnitude faster than the conventional optimal control computation. The network pulses were from the supervised training capable of compensating scan-subject dependent inhomogeneities of B0 and B+1 fields. Unfortunately, the network presented with a non-negligible percentage of pulse amplitude overshoots in the test subset, despite the optimal control pulses used in training were fully constrained. Here, we have extended the convolutional neural network with a custom-made clipping layer that completely eliminates the risk of pulse amplitude overshoots, while preserving the ability to compensate the inhomogeneous field conditions.




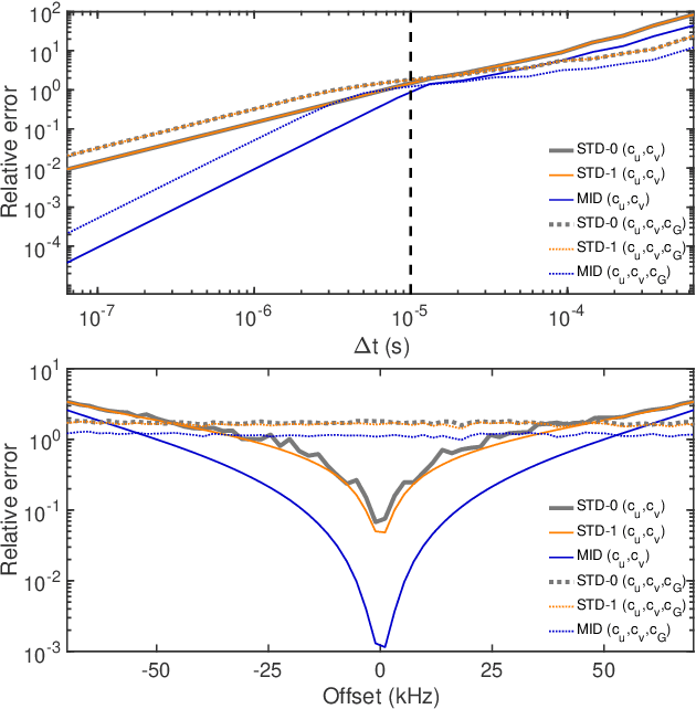
Abstract:We have recently demonstrated supervised deep learning methods for rapid generation of radiofrequency pulses in magnetic resonance imaging (https://doi.org/10.1002/mrm.27740, https://doi.org/10.1002/mrm.28667). Unlike the previous iterative optimization approaches, deep learning methods generate a pulse using a fixed number of floating-point operations - this is important in MRI, where patient-specific pulses preferably must be produced in real time. However, deep learning requires vast training libraries, which must be generated using the traditional methods, e.g. iterative quantum optimal control methods. Those methods are usually variations of gradient descent, and the calculation of the fidelity gradient of the performance metric with respect to the pulse waveform can be the most numerically intensive step. In this communication, we explore various ways in which the calculation of fidelity gradients in quantum optimal control theory may be accelerated. Four optimization avenues are explored: truncated commutator series expansions at zeroth and first order, a novel midpoint truncation scheme at first order, and the exact complex-step method. For the spin systems relevant to MRI, the first-order truncation is found to be sufficiently accurate, but also up to five times faster than the machine precision gradient. This makes the generation of training databases for the machine learning methods considerably more realistic.




Abstract:Purpose: Rapid 2D RF pulse design with subject specific $B_1^+$ inhomogeneity and $B_0$ off-resonance compensation at 7 T predicted from convolutional neural networks is presented. Methods: The convolution neural network was trained on half a million single-channel transmit, 2D RF pulses optimized with an optimal control method using artificial 2D targets, $B_1^+$ and $B_0$ maps. Predicted pulses were tested in a phantom and in vivo at 7 T with measured $B_1^+$ and $B_0$ maps from a high-resolution GRE sequence. Results: Pulse prediction by the trained convolutional neural network was done on the fly during the MR session in approximately 9 ms for multiple hand drawn ROIs and the measured $B_1^+$ and $B_0$ maps. Compensation of $B_1^+$ inhomogeneity and $B_0$ off-resonances has been confirmed in the phantom and in vivo experiments. The reconstructed image data agrees well with the simulations using the acquired $B_1^+$ and $B_0$ maps and the 2D RF pulse predicted by the convolutional neural networks is as good as the conventional RF pulse obtained by optimal control. Conclusion: The proposed convolutional neural network based 2D RF pulse design method predicts 2D RF pulses with an excellent excitation pattern and compensated $B_1^+$ and $B_0$ variations at 7 T. The rapid 2D RF pulse prediction (9 ms) enables subject-specific high-quality 2D RF pulses without the need to run lengthy optimizations.