



Abstract:The underlay cognitive radio-based hybrid radio frequency / free-space optical (RF / FSO) systems have been emerged as a promising technology due to its ability to eliminate spectrum scarcity and spectrum under-utilization problems. Consequently, this work analyzes the physical layer security aspects of a cognitive RF / FSO hybrid network that includes a primary user, a secondary source, a secondary receiver, and an eavesdropper where the secret communication takes place between two legitimate secondary peers over the RF and FSO links simultaneously, and the eavesdropper can overhear the RF link only. In particular, the maximum transmit power limitation at the secondary user as well as the permissible interference power restriction at the primary user are also taken into consideration. All the RF links are modeled with $\alpha$-$\mu$ fading whereas the FSO link undergoes M\'alaga (M) turbulence with link blockage and pointing error impairments. At the receiver, the selection combining diversity technique is utilized to select the signal with the best electrical signal-to-ratio (SNR). Moreover, the closed-form expressions for the secrecy outage probability, probability of strictly positive secrecy capacity, and effective secrecy throughput are derived to analyze the secrecy performance. Besides, the impacts of fading, primary-secondary interference, detection techniques, link blockage probability, atmospheric turbulence, and pointing error are examined. Finally, Monte-Carlo simulations are performed to corroborate the derived expressions.




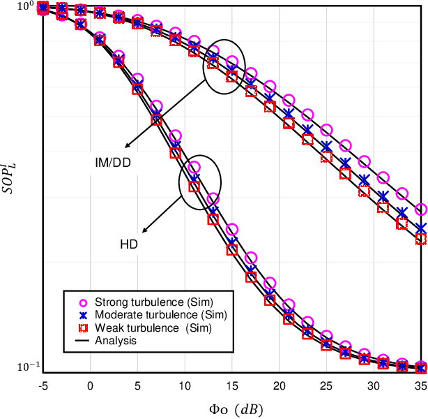
Abstract:This work deals with the secrecy performance analysis of a dual-hop RF-FSO DF relaying network composed of a source, a relay, a destination, and an eavesdropper. We assume the eavesdropper is located close to the destination and overhears the relay's transmitted optical signal. The RF and FSO links undergo ($\alpha$-$\kappa$-$\mu$)-shadowed fading and unified M\'alaga turbulence with pointing error. The secrecy performance of the mixed system is studied by deriving closed-form analytical expressions of secure outage probability (SOP), strictly positive secrecy capacity (SPSC), and intercept probability (IP). Besides, we also derive the asymptotic SOP, SPSC, and IP upon utilizing the unfolding of Meijer's G function where the electrical SNR of the FSO link tends to infinity. Finally, the Monte-Carlo simulation is performed to corroborate the analytical expressions. Our results illustrate that fading, shadowing, detection techniques (i.e., heterodyne detection (HD) and intensity modulation and direct detection (IM/DD)), atmospheric turbulence, and pointing error significantly affect the secrecy performance. In addition, better performance is obtained exploiting the HD technique at the destination relative to IM/DD technique.