



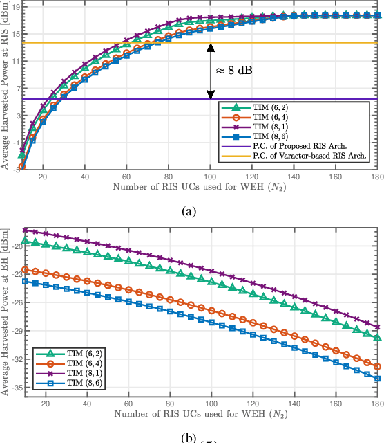
Abstract:The rising demand for energy and spectrum resources in next-generation Internet-of-things (IoT) systems accounts for innovative modes of information and power transfer. One potential solution is to harness the active transmission capability of devices to facilitate data transmission and wireless energy harvesting (WEH) for backscatter communication so as to form a symbiotic radio (SR) environment in a mutualistic manner. Additionally, incorporating reconfigurable intelligent surfaces (RISs) into the SR environment can provide an additional link and enhance the reliability of backscatter communication, thereby reinforcing the symbiotic relationships between active and passive devices. This paper proposes a novel SR system where a standalone RIS sustains its functions through WEH based on a low-power RIS structure and establishes mutualistic symbiosis by utilizing a signal conveyed by the primary transmitter (PTx) to assist ongoing transmissions and convey information to the primary receiver (PRx). The PTx employs time index modulation (TIM) to transmit information to the PRx and power to the RIS and energy harvester (EH). A log-likelihood ratio (LLR)-based detector is presented to address challenges in the TIM scheme. Finally, the performance of the proposed scheme is investigated in terms of harvested direct current (DC) power at the RIS and EH, as well as the bit error rate (BER) at the PRx.
Abstract:While wireless information transmission (WIT) is evolving into its sixth generation (6G), maintaining terminal operations that rely on limited battery capacities has become one of the most paramount challenges for Internet-of-Things (IoT) platforms. In this respect, there exists a growing interest in energy harvesting technology from ambient resources, and wireless power transfer (WPT) can be the key solution towards enabling battery-less infrastructures referred to as zero-power communication technology. Indeed, eclectic integration approaches between WPT and WIT mechanisms are becoming a vital necessity to limit the need for replacing batteries. Beyond the conventional separation between data and power components of the emitted waveforms, as in simultaneous wireless information and power transfer (SWIPT) mechanisms, a novel protocol referred to as information harvesting (IH) has recently emerged. IH leverages existing WPT mechanisms for data communication by incorporating index modulation (IM) techniques on top of the existing far-field power transfer mechanism. In this paper, a unified framework for the IM-based IH mechanisms has been presented where the feasibility of various IM techniques are evaluated based on different performance metrics. The presented results demonstrate the substantial potential to enable data communication within existing far-field WPT systems, particularly in the context of next-generation IoT wireless networks.