Abstract:We experimentally demonstrate the performance gains achieved by an in-house built reconfigurable intelligent surface (RIS) integrated with a real-time 5G new radio (NR) system implemented using the OpenAirInterface (OAI) framework. We first quantify the gain in throughput achievable by integrating an RIS with a 5G system. Next, we show that randomly setting the RIS phase configuration and leveraging the inherent proportional fair (PF) scheduling mechanism of 5G NR can yield near-optimal throughput, provided the throughput averaging window of the PF scheduler is chosen judiciously. This occurs because, in each time slot, the PF scheduler naturally prioritizes data transmission to the user equipment (UE) that experiences the best channel conditions, namely, the UE to which the randomly configured RIS is aligned. Subsequently, we experimentally evaluate key performance metrics, including the reference signal received power (RSRP), block error rate (BLER), modulation and coding scheme (MCS) index, and throughput, under random RIS configurations. These results confirm that even a randomly configured RIS with negligible overhead can deliver performance comparable to optimized RIS designs, in real-world 5G NR wireless communication systems.




Abstract:Intelligent reflecting surfaces (IRSs) are envisioned to enhance the performance of mmWave wireless systems. In practice, multiple mobile operators (MO) coexist in an area and provide simultaneous and independent services to user-equipments (UEs) on different frequency bands. Then, if each MO deploys an IRS to enhance its performance, the IRSs also alter the channels of UEs of other MOs. In this context, this paper addresses the following questions: can an MO still continue to control its IRS independently of other MOs and IRSs? Is joint optimization of IRSs deployed by different MOs and inter-MO cooperation needed? To that end, by considering the mmWave bands, we first derive the ergodic sum spectral efficiency (SE) in a $2$-MO system for the following schemes: 1) joint optimization of an overall phase angle of the IRSs with MO cooperation, 2) MO cooperation via time-sharing, and 3) no cooperation between the MOs. We find that even with no cooperation between the MOs, the performance of a given MO is not degraded by the presence of an out-of-band (OOB) MO deploying and independently controlling its own IRS. On the other hand, the SE gain obtained at a given MO using joint optimization and cooperation over the no-cooperation scheme decreases inversely with the number of elements in the IRS deployed by the other MO. We generalize our results to a multiple MO setup and show that the gain in the sum-SE over the no-cooperation case increases at least linearly with the number of OOB MOs. Finally, we numerically verify our findings and conclude that every MO can independently operate and tune its IRS; cooperation via optimizing an overall phase only brings marginal benefits in practice.
Abstract:In wideband systems operating at mmWave frequencies, intelligent reflecting surfaces (IRSs) equipped with many passive elements can compensate for channel propagation losses. Then, a phenomenon known as the beam-split (B-SP) occurs in which the phase shifters at the IRS elements fail to beamform at a desired user equipment (UE) over the total allotted bandwidth (BW). Although B-SP is usually seen as an impairment, in this paper, we take an optimistic view and exploit the B-SP effect to enhance the system performance via an orthogonal frequency division multiple access (OFDMA). We argue that due to the B-SP, when an IRS is tuned to beamform at a particular angle on one frequency, it also forms beams in different directions on other frequencies. Then, by opportunistically scheduling different UEs on different subcarriers (SCs), we show that, almost surely, the optimal array gain that scales quadratically in the number of IRS elements can be achieved on all SCs in the system. We derive the achievable throughput of the proposed scheme and deduce that the system also enjoys additional multi-user diversity benefits on top of the optimal beamforming gain over the full BW. Finally, we verify our findings via numerical simulations.



Abstract:We investigate the impact of multiple distributed intelligent reflecting surfaces (IRSs), which are deployed and optimized by a mobile operator (MO), on the performance of user equipments (UEs) served by other co-existing out-of-band (OOB) MOs that do not control the IRSs. We show that, under round-robin scheduling, in mmWave frequencies, the ergodic sum spectral efficiency (SE) of an OOB MO is monotonic in the total number of IRS elements with a pre-log factor that depends on the channel properties of the OOB UE. We further show that the maximum achievable SE of OOB MO scales log-linearly in IRS elements. Then, by specifying the minimum number of IRSs as a function of the channel parameters, we design a distributed IRS system in which an OOB MO almost surely obtains the maximum SE. Finally, we prove that the outage probability at an OOB UE decreases exponentially in the number of IRSs, even though they are randomly configured from the UE's viewpoint. We numerically verify our theory and conclude that distributed IRSs always help every MO, but the MO controlling the IRSs benefits the most.
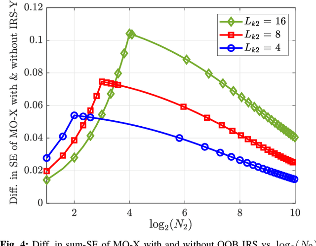
Abstract:Intelligent reflecting surfaces (IRSs) were introduced to enhance the performance of wireless communication systems. However, from a service provider's viewpoint, a concern with the use of an IRS is its effect on out-of-band (OOB) quality of service. Specifically, if two operators, say X and Y, provide services in a given geographical area using non-overlapping frequency bands, and if operator X uses an IRS to enhance the spectral efficiency (SE) of its users, does it degrade the performance of users served by operator Y? We answer this question by analyzing the average and instantaneous performances of the OOB operator considering both sub-6 GHz and mmWave bands, accounting for their corresponding channel characteristics. Specifically, we derive the ergodic sum-spectral efficiency achieved by the operators under round-robin scheduling. We also derive the outage probability and analyze the change in the SNR witnessed by an OOB user in the presence of the IRS using stochastic dominance theory. Surprisingly, even though the IRS is randomly configured from operator Y's point of view, the OOB operator still benefits from the presence of the IRS, witnessing a performance enhancement for free, in both sub-6 GHz and mmWave bands. This is because the IRS introduces additional paths between the transmitter and receiver, increasing the overall signal power arriving at the receiver and providing diversity benefits. We numerically illustrate our findings and conclude that an IRS is always beneficial to every operator, even when the IRS is deployed and controlled by only one operator to serve its own users.



Abstract:Intelligent reflecting surfaces (IRSs) were introduced in the literature in order to enhance the performance of the wireless systems. However, from a cellular service provider's point of view, a concern with the use of an IRS is its effect on out-of-band (OOB) quality of service. Specifically, if there are two operators, say X and Y, providing services in a given geographical area using non-overlapping frequency bands, and if operator X uses an IRS to optimally enhance the throughput of it's users, does the IRS degrade the performance of operator Y? We study this scenario by analyzing the ergodic sum-rates achieved by both the operators under round-robin scheduling. We also derive the complementary cumulative distribution function of the change in the effective channel gain at an OOB user with and without the IRS, which provides deeper insights into the effect of the IRS on the overall channel quality. Surprisingly, we find that even though the IRS is randomly configured from operator Y's point of view, the OOB operator still benefits from the presence of the IRS, witnessing a performance enhancement for free. This happens because the IRS introduces additional paths between the transmitter and receiver, increasing the overall signal power arriving at the receiver and providing diversity benefits. We verify our findings via numerical simulations, and conclude that an IRS is always beneficial to every operator, even when the IRS is deployed to optimally serve only one operator in the system.




Abstract:Intelligent reflecting surfaces (IRSs) are a promising technology for enhancing coverage and spectral efficiency, especially in the millimeter wave (mmWave) bands. Existing approaches to leverage the benefits of IRS involve the use of a resource-intensive channel estimation step followed by a computationally expensive algorithm to optimize the reflection coefficients at the IRS. In this work, we present and analyze several alternative schemes, where the phase configuration of the IRS is randomized and multi-user diversity is exploited to opportunistically select the best user at each point in time for data transmission. We show that the throughput of an IRS assisted opportunistic communication (OC) system asymptotically converges to the optimal beamforming-based throughput under fair allocation of resources, as the number of users gets large. We also introduce schemes that enhance the rate of convergence of the OC rate to the beamforming rate with the number of users. For all the proposed schemes, we derive the scaling law of the throughput in terms of the system parameters, as the number of users gets large. Following this, we extend the setup to wideband channels via an orthogonal frequency division multiplexing (OFDM) system and discuss two OC schemes in an IRS assisted setting that clearly elucidate the superior performance that IRS aided OC systems can offer over conventional systems, at very low implementation cost and complexity.