



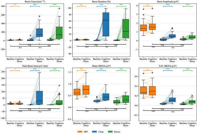
Abstract:The sympathetic nervous system (SNS) plays a central role in regulating the body's responses to stress and maintaining physiological stability. Its dysregulation is associated with a wide range of conditions, from cardiovascular disease to anxiety disorders. Skin nerve activity (SKNA) extracted from high-frequency electrocardiogram (ECG) recordings provides a noninvasive window into SNS dynamics, but its measurement is highly susceptible to electromyographic (EMG) contamination. Traditional preprocessing based on bandpass filtering within a fixed range (e.g., 500--1000 Hz) is susceptible to overlapping EMG and SKNA spectral components, especially during sustained muscle activity. We present a denoising approach using a lightweight one-dimensional convolutional autoencoder with a long short-term memory (LSTM) bottleneck to reconstruct clean SKNA from EMG-contaminated recordings. Using clean ECG-derived SKNA data from cognitive stress experiments and EMG noise from chaotic muscle stimulation recordings, we simulated contamination at realistic noise levels (--4 dB, --8 dB signal-to-noise ratio) and trained the model in the leave-one-subject-out cross-validation framework. The method improved signal-to-noise ratio by up to 9.65 dB, increased cross correlation with clean SKNA from 0.40 to 0.72, and restored burst-based SKNA features to near-clean discriminability (AUROC $\geq$ 0.96). Classification of baseline versus sympathetic stimulation (cognitive stress) conditions reached accuracies of 91--98\% across severe noise levels, comparable to clean data. These results demonstrate that deep learning--based reconstruction can preserve physiologically relevant sympathetic bursts during substantial EMG interference, enabling more robust SKNA monitoring in naturalistic, movement-rich environments.




Abstract:The electrodermal activity (EDA) signal is a sensitive and non-invasive surrogate measure of sympathetic function. Use of EDA has increased in popularity in recent years for such applications as emotion and stress recognition; assessment of pain, fatigue, and sleepiness; diagnosis of depression and epilepsy; and other uses. Recently, there have been several studies using ambulatory EDA recordings, which are often quite useful for analysis of many physiological conditions. Because ambulatory monitoring uses wearable devices, EDA signals are often affected by noise and motion artifacts. An automated noise and motion artifact detection algorithm is therefore of utmost importance for accurate analysis and evaluation of EDA signals. In this paper, we present machine learning-based algorithms for motion artifact detection in EDA signals. With ten subjects, we collected two simultaneous EDA signals from the right and left hands, while instructing the subjects to move only the right hand. Using these data, we proposed a cross-correlation-based approach for non-biased labeling of EDA data segments. A set of statistical, spectral and model-based features were calculated which were then subjected to a feature selection algorithm. Finally, we trained and validated several machine learning methods using a leave-one-subject-out approach. The classification accuracy of the developed model was 83.85% with a standard deviation of 4.91%, which was better than a recent standard method that we considered for comparison to our algorithm.