



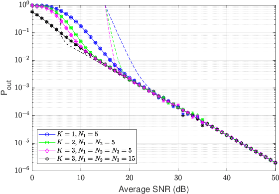
Abstract:In this paper, we study the performance of multiple reconfigurable intelligent surfaces (RISs)-aided unmanned aerial vehicle (UAV) communication networks over Nakagami-$m$ fading channels. For that purpose, we used accurate closed-form approximations for the channel distributions to derive closed-form approximations for the outage probability (OP), average symbol error probability (ASEP), and the average channel capacity assuming independent non-identically distributed (i.ni.d.) channels. Furthermore, we derive the asymptotic OP at the high signal-to-noise ratio (SNR) regime to get more insights into the system performance. We also study some practical scenarios related to RISs, UAV, and destination locations and illustrate their impact on the system performance through simulations. Finally, we provide an optimization problem on the transmit power of each channel.