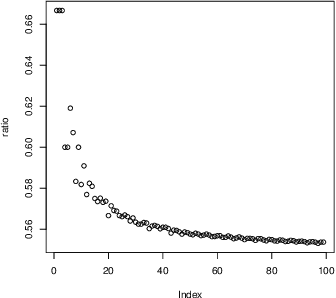
Abstract:Real-world networks grow over time; statistical models based on node exchangeability are not appropriate. Instead of constraining the structure of the \textit{distribution} of edges, we propose that the relevant symmetries refer to the \textit{causal structure} between them. We first enumerate the 96 causal directed acyclic graph (DAG) models over pairs of nodes (dyad variables) in a growing network with finite ancestral sets that are invariant to node deletion. We then partition them into 21 classes with ancestral sets that are closed under node marginalization. Several of these classes are remarkably amenable to distributed and asynchronous evaluation. As an example, we highlight a simple model that exhibits flexible power-law degree distributions and emergent phase transitions in sparsity, which we characterize analytically. With few parameters and much conditional independence, our proposed framework provides natural baseline models for causal inference in relational data.
Abstract:By representing any constraint-based causal learning algorithm via a placeholder property, we decompose the correctness condition into a part relating the distribution and the true causal graph, and a part that depends solely on the distribution. This provides a general framework to obtain correctness conditions for causal learning, and has the following implications. We provide exact correctness conditions for the PC algorithm, which are then related to correctness conditions of some other existing causal discovery algorithms. We show that the sparsest Markov representation condition is the weakest correctness condition resulting from existing notions of minimality for maximal ancestral graphs and directed acyclic graphs. We also reason that additional knowledge than just Pearl-minimality is necessary for causal learning beyond faithfulness.
Abstract:Causal intervention is an essential tool in causal inference. It is axiomatized under the rules of do-calculus in the case of structure causal models. We provide simple axiomatizations for families of probability distributions to be different types of interventional distributions. Our axiomatizations neatly lead to a simple and clear theory of causality that has several advantages: it does not need to make use of any modeling assumptions such as those imposed by structural causal models; it only relies on interventions on single variables; it includes most cases with latent variables and causal cycles; and more importantly, it does not assume the existence of an underlying true causal graph--in fact, a causal graph is a by-product of our theory. We show that, under our axiomatizations, the intervened distributions are Markovian to the defined intervened causal graphs, and an observed joint probability distribution is Markovian to the obtained causal graph; these results are consistent with the case of structural causal models, and as a result, the existing theory of causal inference applies. We also show that a large class of natural structural causal models satisfy the theory presented here.



Abstract:The paper formalizes constraint-based structure learning of the "true" causal graph from observed data when unobserved variables are also existent. We define a "generic" structure learning algorithm, which provides conditions that, under the faithfulness assumption, the output of all known exact algorithms in the literature must satisfy, and which outputs graphs that are Markov equivalent to the causal graph. More importantly, we provide clear assumptions, weaker than faithfulness, under which the same generic algorithm outputs Markov equivalent graphs to the causal graph. We provide the theory for the general class of models under the assumption that the distribution is Markovian to the true causal graph, and we specialize the definitions and results for structural causal models.




Abstract:In this paper, we deal with the problem of marginalization over and conditioning on two disjoint subsets of the node set of chain graphs (CGs) with the LWF Markov property. For this purpose, we define the class of chain mixed graphs (CMGs) with three types of edges and, for this class, provide a separation criterion under which the class of CMGs is stable under marginalization and conditioning and contains the class of LWF CGs as its subclass. We provide a method for generating such graphs after marginalization and conditioning for a given CMG or a given LWF CG. We then define and study the class of anterial graphs, which is also stable under marginalization and conditioning and contains LWF CGs, but has a simpler structure than CMGs.




Abstract:We define and study the statistical models in exponential family form whose sufficient statistics are the degree distributions and the bi-degree distributions of undirected labelled simple graphs. Graphs that are constrained by the joint degree distributions are called $dK$-graphs in the computer science literature and this paper attempts to provide the first statistically grounded analysis of this type of models. In addition to formalizing these models, we provide some preliminary results for the parameter estimation and the asymptotic behaviour of the model for degree distribution, and discuss the parameter estimation for the model for bi-degree distribution.




Abstract:In this paper, we unify the Markov theory of a variety of different types of graphs used in graphical Markov models by introducing the class of loopless mixed graphs, and show that all independence models induced by $m$-separation on such graphs are compositional graphoids. We focus in particular on the subclass of ribbonless graphs which as special cases include undirected graphs, bidirected graphs, and directed acyclic graphs, as well as ancestral graphs and summary graphs. We define maximality of such graphs as well as a pairwise and a global Markov property. We prove that the global and pairwise Markov properties of a maximal ribbonless graph are equivalent for any independence model that is a compositional graphoid.




Abstract:In this paper, we study classes of graphs with three types of edges that capture the modified independence structure of a directed acyclic graph (DAG) after marginalisation over unobserved variables and conditioning on selection variables using the $m$-separation criterion. These include MC, summary, and ancestral graphs. As a modification of MC graphs, we define the class of ribbonless graphs (RGs) that permits the use of the $m$-separation criterion. RGs contain summary and ancestral graphs as subclasses, and each RG can be generated by a DAG after marginalisation and conditioning. We derive simple algorithms to generate RGs, from given DAGs or RGs, and also to generate summary and ancestral graphs in a simple way by further extension of the RG-generating algorithm. This enables us to develop a parallel theory on these three classes and to study the relationships between them as well as the use of each class.




Abstract:In this paper we discuss four problems regarding Markov equivalences for subclasses of loopless mixed graphs. We classify these four problems as finding conditions for internal Markov equivalence, which is Markov equivalence within a subclass, for external Markov equivalence, which is Markov equivalence between subclasses, for representational Markov equivalence, which is the possibility of a graph from a subclass being Markov equivalent to a graph from another subclass, and finding algorithms to generate a graph from a certain subclass that is Markov equivalent to a given graph. We particularly focus on the class of maximal ancestral graphs and its subclasses, namely regression graphs, bidirected graphs, undirected graphs, and directed acyclic graphs, and present novel results for representational Markov equivalence and algorithms.