Abstract:Dream11 is a fantasy sports platform that allows users to create their own virtual teams for real-life sports events. We host multiple sports and matches for our 200M+ user base. In this RMG (real money gaming) setting, users pay an entry amount to participate in various contest products that we provide to users. In our current work, we discuss the problem of predicting the user's propensity to spend in a gaming round, so it can be utilized for various downstream applications. e.g. Upselling users by incentivizing them marginally as per their spending propensity, or personalizing the product listing based on the user's propensity to spend. We aim to model the spending propensity of each user based on past transaction data. In this paper, we benchmark tree-based and deep-learning models that show good results on structured data, and we propose a new architecture change that is specifically designed to capture the rich interactions among the input features. We show that our proposed architecture outperforms the existing models on the task of predicting the user's propensity to spend in a gaming round. Our new transformer model surpasses the state-of-the-art FT-Transformer, improving MAE by 2.5\% and MSE by 21.8\%.




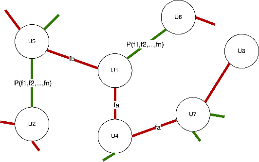
Abstract:Dream11 takes pride in being a unique platform that enables over 190 million fantasy sports users to demonstrate their skills and connect deeper with their favorite sports. While managing such a scale, one issue we are faced with is duplicate/multiple account creation in the system. This is done by some users with the intent of abusing the platform, typically for bonus offers. The challenge is to detect these multiple accounts before it is too late. We propose a graph-based solution to solve this problem in which we first predict edges/associations between users. Using the edge information we highlight clusters of colluding multiple accounts. In this paper, we talk about our distributed ML system which is deployed to serve and support the inferences from our detection models. The challenge is to do this in real-time in order to take corrective actions. A core part of this setup also involves human-in-the-loop components for validation, feedback, and ground-truth labeling.