



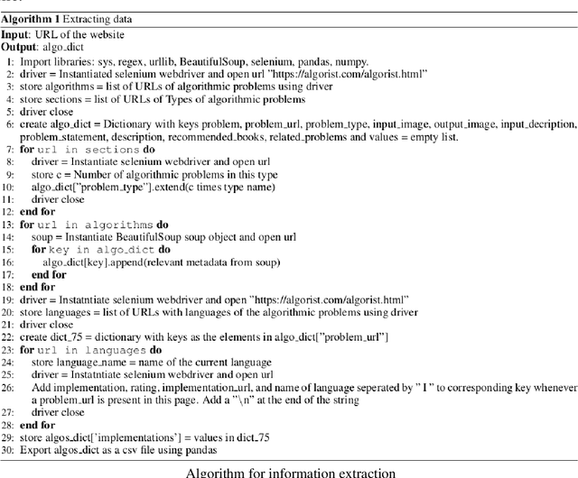
Abstract:There is enormous growth in various fields of research. This development is accompanied by new problems. To solve these problems efficiently and in an optimized manner, algorithms are created and described by researchers in the scientific literature. Scientific algorithms are vital for understanding and reusing existing work in numerous domains. However, algorithms are generally challenging to find. Also, the comparison among similar algorithms is difficult because of the disconnected documentation. Information about algorithms is mostly present in websites, code comments, and so on. There is an absence of structured metadata to portray algorithms. As a result, sometimes redundant or similar algorithms are published, and the researchers build them from scratch instead of reusing or expanding upon the already existing algorithm. In this paper, we introduce an approach for automatically developing a knowledge graph (KG) for algorithmic problems from unstructured data. Because it captures information more clearly and extensively, an algorithm KG will give additional context and explainability to the algorithm metadata.




Abstract:Metadata vocabularies are used in various domains of study. It provides an in-depth description of the resources. In this work, we develop Algorithm Metadata Vocabulary (AMV), a vocabulary for capturing and storing the metadata about the algorithms (a procedure or a set of rules that is followed step-by-step to solve a problem, especially by a computer). The snag faced by the researchers in the current time is the failure of getting relevant results when searching for algorithms in any search engine. AMV is represented as a semantic model and produced OWL file, which can be directly used by anyone interested to create and publish algorithm metadata as a knowledge graph, or to provide metadata service through SPARQL endpoint. To design the vocabulary, we propose a well-defined methodology, which considers real issues faced by the algorithm users and the practitioners. The evaluation shows a promising result.