



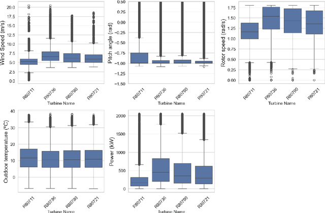
Abstract:The rapid growth of the wind energy sector underscores the urgent need to optimize turbine operations and ensure effective maintenance through early fault detection systems. While traditional empirical and physics-based models offer approximate predictions of power generation based on wind speed, they often fail to capture the complex, non-linear relationships between other input variables and the resulting power output. Data-driven machine learning methods present a promising avenue for improving wind turbine modeling by leveraging large datasets, enhancing prediction accuracy but often at the cost of interpretability. In this study, we propose a hybrid semi-parametric model that combines the strengths of both approaches, applied to a dataset from a wind farm with four turbines. The model integrates a physics-inspired submodel, providing a reasonable approximation of power generation, with a non-parametric submodel that predicts the residuals. This non-parametric submodel is trained on a broader range of variables to account for phenomena not captured by the physics-based component. The hybrid model achieves a 37% improvement in prediction accuracy over the physics-based model. To enhance interpretability, SHAP values are used to analyze the influence of input features on the residual submodel's output. Additionally, prediction uncertainties are quantified using a conformalized quantile regression method. The combination of these techniques, alongside the physics grounding of the parametric submodel, provides a flexible, accurate, and reliable framework. Ultimately, this study opens the door for evaluating the impact of unmodeled variables on wind turbine power generation, offering a basis for potential optimization.




Abstract:The automatic detection of disinformation presents a significant challenge in the field of natural language processing. This task addresses a multifaceted societal and communication issue, which needs approaches that extend beyond the identification of general linguistic patterns through data-driven algorithms. In this research work, we hypothesise that text classification methods are not able to capture the nuances of disinformation and they often ground their decision in superfluous features. Hence, we apply a post-hoc explainability method (SHAP, SHapley Additive exPlanations) to identify spurious elements with high impact on the classification models. Our findings show that non-informative elements (e.g., URLs and emoticons) should be removed and named entities (e.g., Rwanda) should be pseudo-anonymized before training to avoid models' bias and increase their generalization capabilities. We evaluate this methodology with internal dataset and external dataset before and after applying extended data preprocessing and named entity replacement. The results show that our proposal enhances on average the performance of a disinformation classification method with external test data in 65.78% without a significant decrease of the internal test performance.




Abstract:Simulation has become a crucial tool for Building Energy Optimization (BEO) as it enables the evaluation of different design and control strategies at a low cost. Machine Learning (ML) algorithms can leverage large-scale simulations to learn optimal control from vast amounts of data without supervision, particularly under the Reinforcement Learning (RL) paradigm. Unfortunately, the lack of open and standardized tools has hindered the widespread application of ML and RL to BEO. To address this issue, this paper presents Sinergym, an open-source Python-based virtual testbed for large-scale building simulation, data collection, continuous control, and experiment monitoring. Sinergym provides a consistent interface for training and running controllers, predefined benchmarks, experiment visualization and replication support, and comprehensive documentation in a ready-to-use software library. This paper 1) highlights the main features of Sinergym in comparison to other existing frameworks, 2) describes its basic usage, and 3) demonstrates its applicability for RL-based BEO through several representative examples. By integrating simulation, data, and control, Sinergym supports the development of intelligent, data-driven applications for more efficient and responsive building operations, aligning with the objectives of digital twin technology.
Abstract:Heating, Ventilation, and Air Conditioning (HVAC) systems are a major driver of energy consumption in commercial and residential buildings. Recent studies have shown that Deep Reinforcement Learning (DRL) algorithms can outperform traditional reactive controllers. However, DRL-based solutions are generally designed for ad hoc setups and lack standardization for comparison. To fill this gap, this paper provides a critical and reproducible evaluation, in terms of comfort and energy consumption, of several state-of-the-art DRL algorithms for HVAC control. The study examines the controllers' robustness, adaptability, and trade-off between optimization goals by using the Sinergym framework. The results obtained confirm the potential of DRL algorithms, such as SAC and TD3, in complex scenarios and reveal several challenges related to generalization and incremental learning.
Abstract:The ever-growing use of wind energy makes necessary the optimization of turbine operations through pitch angle controllers and their maintenance with early fault detection. It is crucial to have accurate and robust models imitating the behavior of wind turbines, especially to predict the generated power as a function of the wind speed. Existing empirical and physics-based models have limitations in capturing the complex relations between the input variables and the power, aggravated by wind variability. Data-driven methods offer new opportunities to enhance wind turbine modeling of large datasets by improving accuracy and efficiency. In this study, we used physics-informed neural networks to reproduce historical data coming from 4 turbines in a wind farm, while imposing certain physical constraints to the model. The developed models for regression of the power, torque, and power coefficient as output variables showed great accuracy for both real data and physical equations governing the system. Lastly, introducing an efficient evidential layer provided uncertainty estimations of the predictions, proved to be consistent with the absolute error, and made possible the definition of a confidence interval in the power curve.