



Abstract:Reconfigurable Intelligent Surfaces (RIS) have emerged as a transformative technology in wireless communications, offering unprecedented control over signal propagation. This study focuses on passive beyond diagonal reconfigurable intelligent surface (BD-RIS), which has been proposed to generalize conventional diagonal RIS, in Multiple-Input Multiple-Output (MIMO) downlink (DL) communication systems. We compare the performance of transmit beamforming (TxBF) and MIMO capacity transmission with waterfilling power allocation in the millimeter wave (mmWave) band, where propagation primarily occurs under line-of-sight (LOS) conditions. In the lack of closed-form expressions for the optimal RIS elements in either case, our approach adopts a gradient-based optimization approach requiring lower complexity than the solution in arXiv:2406.02170. Numerical results reveal that BD-RIS significantly outperforms traditional diagonal RIS in terms of spectral efficiency and coverage
Abstract:This article addresses the challenge of optimizing handover (HO) in next-generation wireless networks by integrating Reconfigurable Intelligent Surfaces (RIS), predicting received signal power, and utilizing learning-based decision-making. A conventional reactive HO mechanism, such as lower-layer triggered mobility (LTM), is enhanced through linear prediction to anticipate link degradation. Additionally, the use of RIS helps to mitigate signal blockage and extend coverage. An online trained non-linear Contextual Multi-Armed Bandit (CMAB) agent selects target gNBs based on context features, which reduces unnecessary HO and signaling overhead. Extensive simulations evaluate eight combinations of these techniques under realistic mobility and channel conditions. Results show that CMAB and RSRP prediction consistently reduce the number of HO, ping-pong rate and cell preparations, while RIS improves link reliability.
Abstract:In the classical setting, the training of a Hidden Markov Model (HMM) typically relies on a single, sufficiently long observation sequence that can be regarded as representative of the underlying stochastic process. In this context, the Expectation Maximization (EM) algorithm is applied in its specialized form for HMMs, namely the Baum Welch algorithm, which has been extensively employed in applications such as speech recognition. The objective of this work is to present pseudocode formulations for both the training and decoding procedures of HMMs in a different scenario, where the available data consist of multiple independent temporal sequences generated by the same model, each of relatively short duration, i.e., containing only a limited number of samples. Special emphasis is placed on the relevance of this formulation to longitudinal studies in population health, where datasets are naturally structured as collections of short trajectories across individuals with point data at follow up.




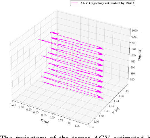
Abstract:The sixth-generation (6G) cellular technology will be deployed with a key feature of Integrated Sensing and Communication (ISAC), allowing the cellular network to map the environment through radar sensing on top of providing communication services. In this regard, the entire network can be considered as a sensor with a broader Field of View (FoV) of the environment, assisting in both the positioning of active and detection of passive targets. On the other hand, the non-3GPP sensors available on the target can provide additional information specific to the target that can be beneficially combined with ISAC sensing information to enhance the overall achievable positioning accuracy. In this paper, we first study the performance of the ISAC system in terms of its achievable accuracy in positioning the mobile target in an indoor scenario. Second, we study the performance gain achieved in the ISAC positioning accuracy after fusing the information from the target's non-3GPP sensors. To this end, we propose a novel data fusion solution based on the deep learning framework to fuse the information from ISAC and non-3GPP sensors. We validate our proposed data fusion and positioning solution with a real-world ISAC Proof-of-Concept (PoC) as the wireless infrastructure, an Automated Guided Vehicle (AGV) as the target, and the Inertial Measurement Unit (IMU) sensor on the target as the non-3GPP sensor. The experimental results show that our proposed solution achieves an average positioning error of $3~\textrm{cm}$, outperforming the considered baselines.




Abstract:In the era of Industry 4.0, smart factories have emerged as a paradigm shift, redefining manufacturing with the integration of advanced digital technologies. Central to this transformation is the deployment of 5G networks, offering unprecedented levels of connectivity, speed, reliability, and ultra-low latency. Among the revolutionary features of 5G is network slicing, a technology that offers enhanced capabilities through the customization of network resources by allowing multiple logical networks (or slices) to run on top of a shared physical infrastructure. This capability is particularly crucial in the densely packed and highly dynamic environment of smart factories, where diverse applications - from robotic automation to real-time analytics - demand varying network requirements. In this paper, we present a comprehensive overview of the integration of slicing in smart factory networks, emphasizing its critical role in enhancing operational efficiency and supporting the diverse requirements of future manufacturing processes. We elaborate on the recent advances, and technical scenarios, including indoor factory propagation conditions, traffic characteristics, system requirements, slice-aware radio resource management, network elements, enabling technologies and current standardisation efforts. Additionally, we identify open research challenges as well as key technical issues stifling deployments. Finally, we speculate on the future trajectory of slicing-enabled smart factories, emphasizing the need for continuous adaptation to emerging technologies.