



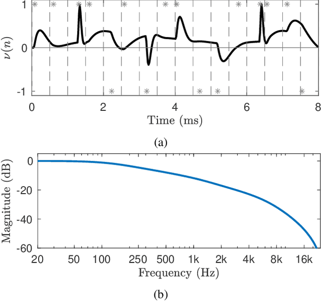
Abstract:Previous research on late-reverberation modeling has mainly focused on exponentially decaying room impulse responses, whereas methods for accurately modeling non-exponential reverberation remain challenging. This paper extends the previously proposed basic dark-velvet-noise reverberation algorithm and proposes a parametrization scheme for modeling late reverberation with arbitrary temporal energy decay. Each pulse in the velvet-noise sequence is routed to a single dictionary filter that is selected from a set of filters based on weighted probabilities. The probabilities control the spectral evolution of the late-reverberation model and are optimized to fit a target impulse response via non-negative least-squares optimization. In this way, the frequency-dependent energy decay of a target late-reverberation impulse response can be fitted with mean and maximum T60 errors of 4% and 8%, respectively, requiring about 50% less coloration filters than a previously proposed filtered velvet-noise algorithm. Furthermore, the extended dark-velvet-noise reverberation algorithm allows the modeled impulse response to be gated, the frequency-dependent reverberation time to be modified, and the model's spectral evolution and broadband decay to be decoupled. The proposed method is suitable for the parametric late-reverberation synthesis of various acoustic environments, especially spaces that exhibit a non-exponential energy decay, motivating its use in musical audio and virtual reality.