



Abstract:The paper is devoted to the participation of the TUDublin team in Constraint@AAAI2021 - COVID19 Fake News Detection Challenge. Today, the problem of fake news detection is more acute than ever in connection with the pandemic. The number of fake news is increasing rapidly and it is necessary to create AI tools that allow us to identify and prevent the spread of false information about COVID-19 urgently. The main goal of the work was to create a model that would carry out a binary classification of messages from social media as real or fake news in the context of COVID-19. Our team constructed the ensemble consisting of Bidirectional Long Short Term Memory, Support Vector Machine, Logistic Regression, Naive Bayes and a combination of Logistic Regression and Naive Bayes. The model allowed us to achieve 0.94 F1-score, which is within 5\% of the best result.




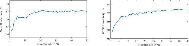
Abstract:Revealing Adverse Drug Reactions (ADR) is an essential part of post-marketing drug surveillance, and data from health-related forums and medical communities can be of a great significance for estimating such effects. In this paper, we propose an end-to-end CNN-based method for predicting drug safety on user comments from healthcare discussion forums. We present an architecture that is based on a vast ensemble of CNNs with varied structural parameters, where the prediction is determined by the majority vote. To evaluate the performance of the proposed solution, we present a large-scale dataset collected from a medical website that consists of over 50 thousand reviews for more than 4000 drugs. The results demonstrate that our model significantly outperforms conventional approaches and predicts medicine safety with an accuracy of 87.17% for binary and 62.88% for multi-classification tasks.