



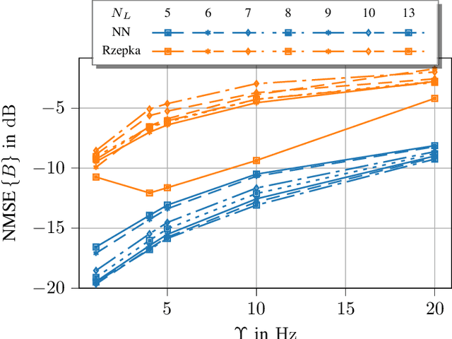
Abstract:This paper presents an approach for instantaneous bandwidth estimation from level-crossing samples using a long short-term memory (LSTM) encoder-decoder architecture. Level-crossing sampling is a nonuniform sampling technique that is particularly useful for energy-efficient acquisition of signals with sparse spectra. Especially in combination with fully analog wireless sensor nodes, level-crossing sampling offers a viable alternative to traditional sampling methods. However, due to the nonuniform distribution of samples, reconstructing the original signal is a challenging task. One promising reconstruction approach is time-warping, where the local signal spectrum is taken into account. However, this requires an accurate estimate of the instantaneous bandwidth of the signal. In this paper, we show that applying neural networks (NNs) to the problem of estimating instantaneous bandwidth from level-crossing samples can improve the overall reconstruction accuracy. We conduct a comprehensive numerical analysis of the proposed approach and compare it to an intensity-based bandwidth estimation method from literature.