



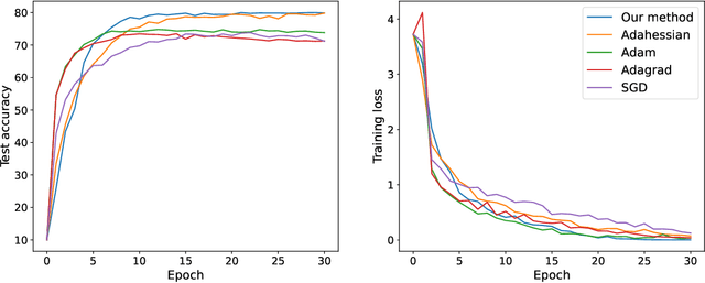
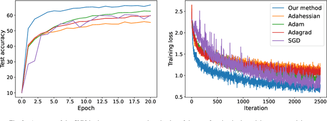
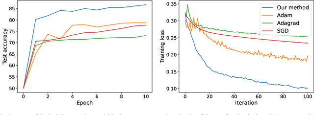
Abstract:We introduce AdaSub, a stochastic optimization algorithm that computes a search direction based on second-order information in a low-dimensional subspace that is defined adaptively based on available current and past information. Compared to first-order methods, second-order methods exhibit better convergence characteristics, but the need to compute the Hessian matrix at each iteration results in excessive computational expenses, making them impractical. To address this issue, our approach enables the management of computational expenses and algorithm efficiency by enabling the selection of the subspace dimension for the search. Our code is freely available on GitHub, and our preliminary numerical results demonstrate that AdaSub surpasses popular stochastic optimizers in terms of time and number of iterations required to reach a given accuracy.