



Abstract:We propose NM landscapes as a new class of tunably rugged benchmark problems. NM landscapes are well-defined on alphabets of any arity, including both discrete and real-valued alphabets, include epistasis in a natural and transparent manner, are proven to have known value and location of the global maximum and, with some additional constraints, are proven to also have a known global minimum. Empirical studies are used to illustrate that, when coefficients are selected from a recommended distribution, the ruggedness of NM landscapes is smoothly tunable and correlates with several measures of search difficulty. We discuss why these properties make NM landscapes preferable to both NK landscapes and Walsh polynomials as benchmark landscape models with tunable epistasis.




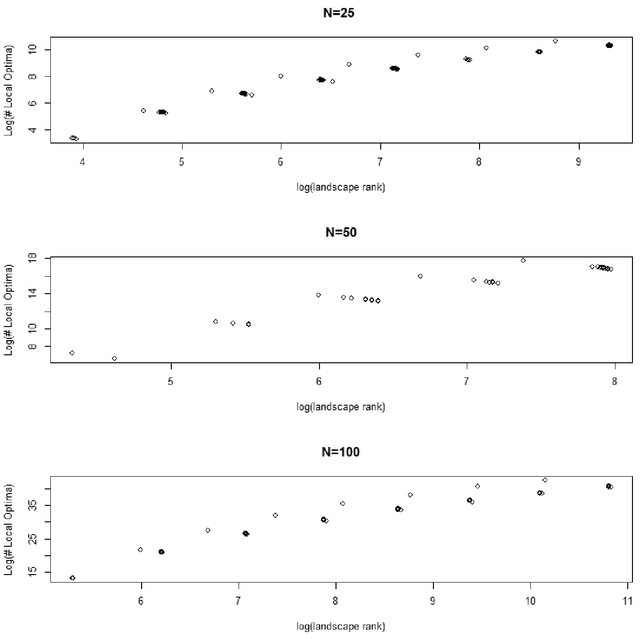
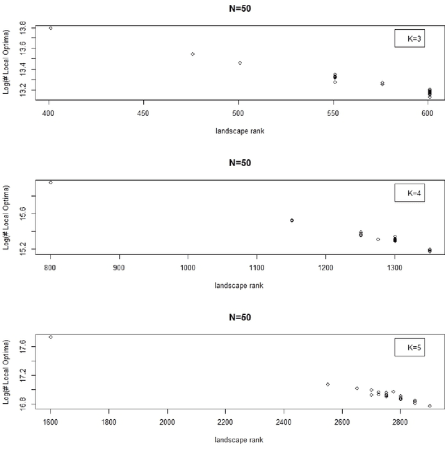
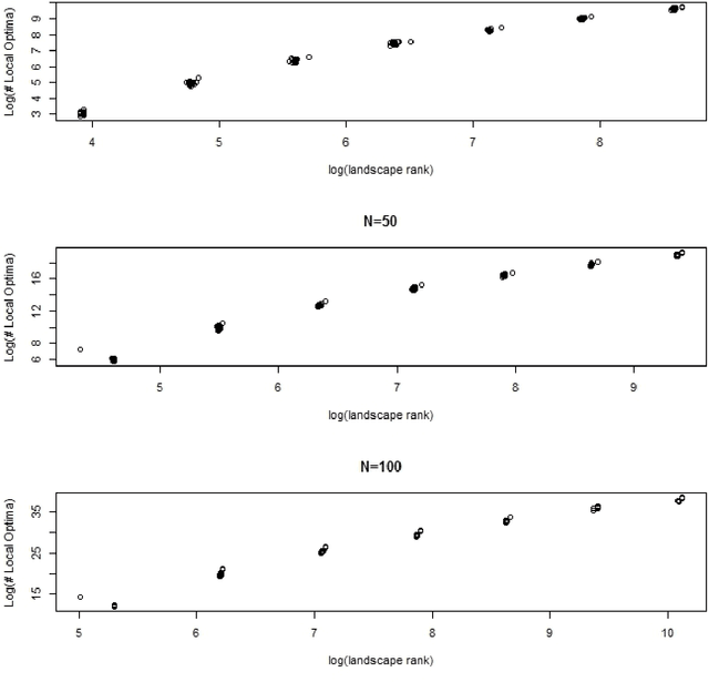
Abstract:Simulated landscapes have been used for decades to evaluate search strategies whose goal is to find the landscape location with maximum fitness. Applications include modeling the capacity of enzymes to catalyze reactions and the clinical effectiveness of medical treatments. Understanding properties of landscapes is important for understanding search difficulty. This paper presents a novel and transparent characterization of NK landscapes. We prove that NK landscapes can be represented by parametric linear interaction models where model coefficients have meaningful interpretations. We derive the statistical properties of the model coefficients, providing insight into how the NK algorithm parses importance to main effects and interactions. An important insight derived from the linear model representation is that the rank of the linear model defined by the NK algorithm is correlated with the number of local optima, a strong determinant of landscape complexity and search difficulty. We show that the maximal rank for an NK landscape is achieved through epistatic interactions that form partially balanced incomplete block designs. Finally, an analytic expression representing the expected number of local optima on the landscape is derived, providing a way to quickly compute the expected number of local optima for very large landscapes.