



Abstract:The Implicit Hitting Set (HS) approach has shown to be very effective for MaxSAT, Pseudo-boolean optimization and other boolean frameworks. Very recently, it has also shown its potential in the very similar Weighted CSP framework by means of the so-called cost-function merging. The original formulation of the HS approach focuses on obtaining increasingly better lower bounds (HS-lb). However, and as shown for Pseudo-Boolean Optimization, this approach can also be adapted to compute increasingly better upper bounds (HS-ub). In this paper we consider both HS approaches and show how they can be easily combined in a multithread architecture where cores discovered by either component are available by the other which, interestingly, generates synergy between them. We show that the resulting algorithm (HS-lub) is consistently superior to either HS-lb and HS-ub in isolation. Most importantly, HS-lub has an effective anytime behaviour with which the optimality gap is reduced during the execution. We tested our approach on the Weighted CSP framework and show on three different benchmarks that our very simple implementation sometimes outperforms the parallel hybrid best-first search implementation of the far more developed state-of-the-art Toulbar2.
Abstract:SAT technology has proven to be surprisingly effective in a large variety of domains. However, for the Weighted CSP problem dedicated algorithms have always been superior. One approach not well-studied so far is the use of SAT in conjunction with the Implicit Hitting Set approach. In this work, we explore some alternatives to the existing algorithm of reference. The alternatives, mostly borrowed from related boolean frameworks, consider trade-offs for the two main components of the IHS approach: the computation of low-cost hitting vectors, and their transformation into high-cost cores. For each one, we propose 4 levels of intensity. Since we also test the usefulness of cost function merging, our experiments consider 32 different implementations. Our empirical study shows that for WCSP it is not easy to identify the best alternative. Nevertheless, the cost-function merging encoding and extracting maximal cores seems to be a robust approach.




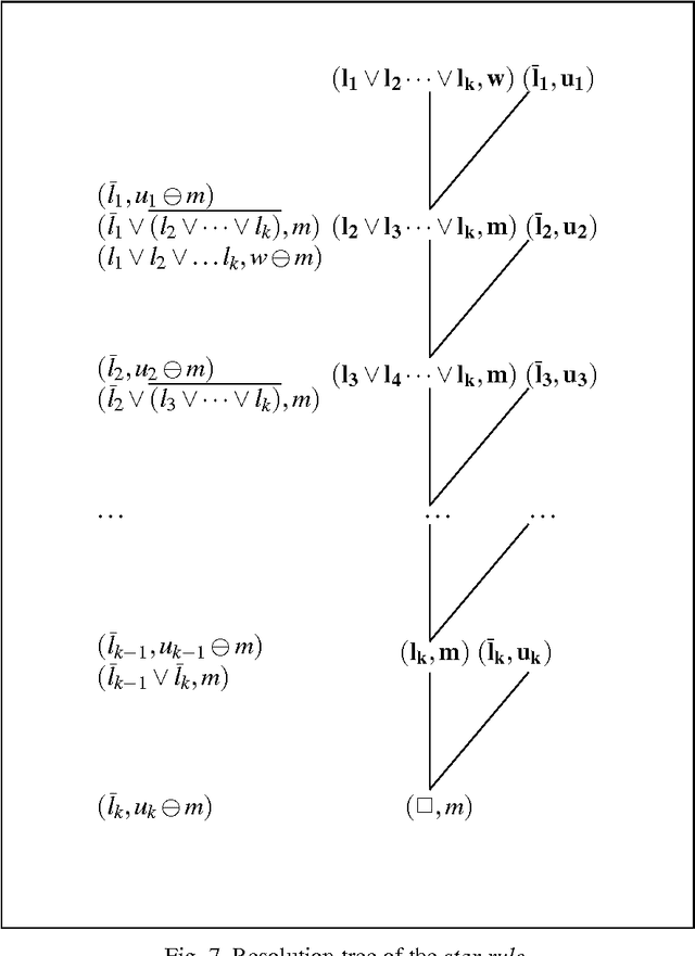
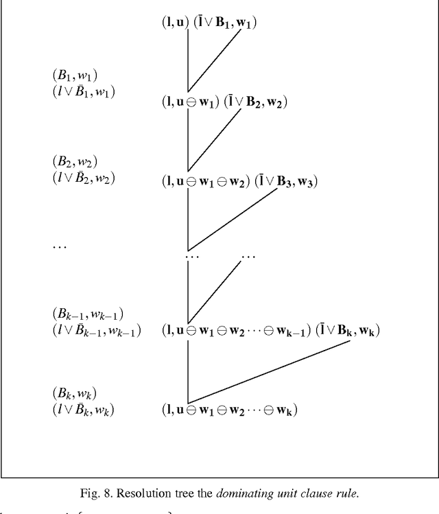
Abstract:Weighted Max-SAT is the optimization version of SAT and many important problems can be naturally encoded as such. Solving weighted Max-SAT is an important problem from both a theoretical and a practical point of view. In recent years, there has been considerable interest in finding efficient solving techniques. Most of this work focus on the computation of good quality lower bounds to be used within a branch and bound DPLL-like algorithm. Most often, these lower bounds are described in a procedural way. Because of that, it is difficult to realize the {\em logic} that is behind. In this paper we introduce an original framework for Max-SAT that stresses the parallelism with classical SAT. Then, we extend the two basic SAT solving techniques: {\em search} and {\em inference}. We show that many algorithmic {\em tricks} used in state-of-the-art Max-SAT solvers are easily expressable in {\em logic} terms with our framework in a unified manner. Besides, we introduce an original search algorithm that performs a restricted amount of {\em weighted resolution} at each visited node. We empirically compare our algorithm with a variety of solving alternatives on several benchmarks. Our experiments, which constitute to the best of our knowledge the most comprehensive Max-sat evaluation ever reported, show that our algorithm is generally orders of magnitude faster than any competitor.