



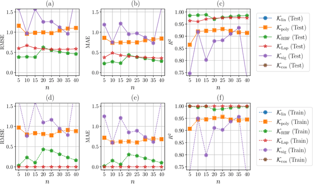
Abstract:Out-of-Time Ordered Correlators (OTOCs) are widely used to investigate information scrambling in quantum systems. However, directly computing OTOCs with classical computers is often impractical. This is due to the need to simulate the dynamics of quantum many-body systems, which entails exponentially-scaling computational costs with system size. Similarly, exact simulation of the dynamics with a quantum computer (QC) will generally require a fault-tolerant QC, which is currently beyond technological capabilities. Therefore, alternative approaches are needed for computing OTOCs and related quantities. In this study, we explore four parameterised sets of Hamiltonians describing quantum systems of interest in condensed matter physics. For each set, we investigate whether classical kernel methods can accurately learn the XZ-OTOC as well as a particular sum of OTOCs, as functions of the Hamiltonian parameters. We frame the problem as a regression task, generating labelled data via an efficient numerical algorithm that utilises matrix product operators to simulate quantum many-body systems, with up to 40 qubits. Using this data, we train a variety of standard kernel machines and observe that the best kernels consistently achieve a high coefficient of determination ($R^2$) on the testing sets, typically between 0.9 and 0.99, and almost always exceeding 0.8. This demonstrates that classical kernels supplied with a moderate amount of training data can be used to closely and efficiently approximate OTOCs and related quantities for a diverse range of quantum many-body systems.