



Abstract:Wildfires are a highly prevalent multi-causal environmental phenomenon. The impact of this phenomenon includes human losses, environmental damage and high economic costs. To mitigate these effects, several computer simulation systems have been developed in order to predict fire behavior based on a set of input parameters, also called a scenario (wind speed and direction; temperature; etc.). However, the results of a simulation usually have a high degree of error due to the uncertainty in the values of some variables, because they are not known, or because their measurement may be imprecise, erroneous, or impossible to perform in real time. Previous works have proposed the combination of multiple results in order to reduce this uncertainty. State-of-the-art methods are based on parallel optimization strategies that use a fitness function to guide the search among all possible scenarios. Although these methods have shown improvements in the quality of predictions, they have some limitations related to the algorithms used for the selection of scenarios. To overcome these limitations, in this work we propose to apply the Novelty Search paradigm, which replaces the objective function by a measure of the novelty of the solutions found, which allows the search to continuously generate solutions with behaviors that differ from one another. This approach avoids local optima and may be able to find useful solutions that would be difficult or impossible to find by other algorithms. As with existing methods, this proposal may also be adapted to other propagation models (floods, avalanches or landslides).

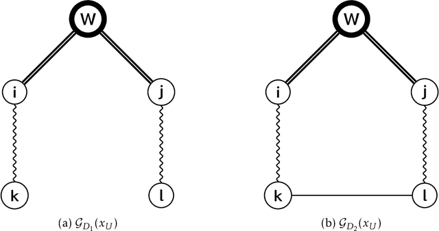
Abstract:Log-linear models are a family of probability distributions which capture a variety of relationships between variables, including context-specific independencies. There are a number of approaches for automatic learning of their independence structures from data, although to date, no efficient method exists for evaluating these approaches directly in terms of the structures of the models. The only known methods evaluate these approaches indirectly through the complete model produced, that includes not only the structure but also the model parameters, introducing potential distortions in the comparison. This work presents such a method, that is, a measure for the direct comparison of the independence structures of log-linear models, inspired by the Hamming distance comparison method used in undirected graphical models. The measure presented can be efficiently computed in terms of the number of variables of the domain, and is proven to be a distance metric.