



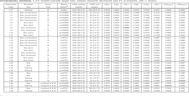
Abstract:Objective: Monitoring athlete internal workload exposure, including prevention of catastrophic non-contact knee injuries, relies on the existence of a custom early-warning detection system. This system must be able to estimate accurate, reliable, and valid musculoskeletal joint loads, for sporting maneuvers in near real-time and during match play. However, current methods are constrained to laboratory instrumentation, are labor and cost intensive, and require highly trained specialist knowledge, thereby limiting their ecological validity and volume deployment. Methods: Here we show that kinematic data obtained from wearable sensor accelerometers, in lieu of embedded force platforms, can leverage recent supervised learning techniques to predict in-game near real-time multidimensional ground reaction forces and moments (GRF/M). Competing convolutional neural network (CNN) deep learning models were trained using laboratory-derived stance phase GRF/M data and simulated sensor accelerations for running and sidestepping maneuvers derived from nearly half a million legacy motion trials. Then, predictions were made from each model driven by five sensor accelerations recorded during independent inter-laboratory data capture sessions. Results: Despite adversarial conditions, the proposed deep learning workbench achieved correlations to ground truth, by GRF component, of vertical 0.9663, anterior 0.9579 (both running), and lateral 0.8737 (sidestepping). Conclusion: The lessons learned from this study will facilitate the use of wearable sensors in conjunction with deep learning to accurately estimate near real-time on-field GRF/M. Significance: Coaching, medical, and allied health staff can use this technology to monitor a range of joint loading indicators during game play, with the ultimate aim to minimize the occurrence of non-contact injuries in elite and community-level sports.