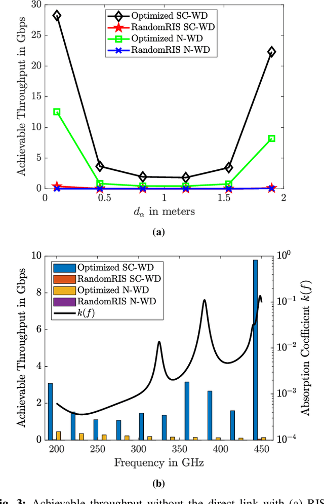
Abstract:This paper introduces a novel line-of-sight (LoS) $\beta-\gamma$ terahertz (THz) channel model that closely mirrors physical reality by considering radiation trapping. Our channel model provides an exhaustive modeling of the physical phenomena including the amount of re-radiation available at the receiver, parametrized by $\beta$, and the balance between scattering and noise contributions, parametrized by $\gamma$, respectively. Our findings indicate a nontrivial relationship between average limiting received signal-to-noise ratio (SNR) and distance emphasizing the significance of $\gamma$ in THz system design. We further propose new maximum likelihood (ML) thresholds for pulse amplitude modulation (PAM) and quadrature amplitude modulation (QAM) schemes, resulting in analytical symbol error rate (SER) expressions that account for different noise variances across constellation points. The results confirm that the analytical SER closely matches the true simulated SER when using an optimal detector. As expected, under maximum molecular re-radiation, the true SER is shown to be lower than that produced by a suboptimal detector that assumes equal noise variances.



Abstract:The operation of Terahertz (THz) communication can be significantly impacted by the interaction between the transmitted wave and the molecules in the atmosphere. In particular, it has been observed experimentally that the signal undergoes not only molecular absorption, but also molecular re-radiation. Two extreme modeling assumptions are prevalent in the literature, where the re-radiated energy is modeled in the first as additive Gaussian noise and in the second as a scattered component strongly correlated to the actual signal. Since the exact characterization is still an open problem, we provide in this paper the first comparative study of the performance of a reconfigurable intelligent surface (RIS) assisted THz system under these two extreme models of re-radiation. In particular, we employ an RIS to overcome the large pathloss by creating a virtual line-of-sight (LOS) path. We then develop an optimization framework for this setup and utilize the block-coordinate descent (BCD) method to iteratively optimize both RIS configuration vector and receive beamforming weight resulting in significant throughput gains for the user of interest compared to random RIS configurations. As expected, our results reveal that better throughput is achieved under the scattering assumption for the molecular re-radiation than the noise assumption.