



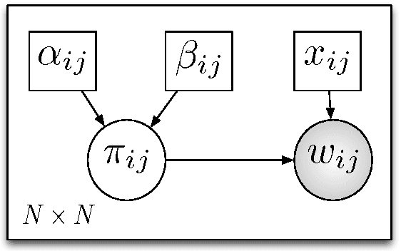
Abstract:We propose a Bayesian methodology for one-mode projecting a bipartite network that is being observed across a series of discrete time steps. The resulting one mode network captures the uncertainty over the presence/absence of each link and provides a probability distribution over its possible weight values. Additionally, the incorporation of prior knowledge over previous states makes the resulting network less sensitive to noise and missing observations that usually take place during the data collection process. The methodology consists of computationally inexpensive update rules and is scalable to large problems, via an appropriate distributed implementation.




Abstract:Identifying overlapping communities in networks is a challenging task. In this work we present a novel approach to community detection that utilises the Bayesian non-negative matrix factorisation (NMF) model to produce a probabilistic output for node memberships. The scheme has the advantage of computational efficiency, soft community membership and an intuitive foundation. We present the performance of the method against a variety of benchmark problems and compare and contrast it to several other algorithms for community detection. Our approach performs favourably compared to other methods at a fraction of the computational costs.